Unit 6 An old man tried to move the mountains.单元阅读训练.docx

上传人:p** 文档编号:1030054 上传时间:2024-06-15 格式:DOCX 页数:8 大小:24.69KB
下载 相关 举报
Unit 6 An old man tried to move the mountains.单元阅读训练.docx_第1页
第1页 / 共8页
Unit 6 An old man tried to move the mountains.单元阅读训练.docx_第2页
第2页 / 共8页
Unit 6 An old man tried to move the mountains.单元阅读训练.docx_第3页
第3页 / 共8页
Unit 6 An old man tried to move the mountains.单元阅读训练.docx_第4页
第4页 / 共8页
Unit 6 An old man tried to move the mountains.单元阅读训练.docx_第5页
第5页 / 共8页
Unit 6 An old man tried to move the mountains.单元阅读训练.docx_第6页
第6页 / 共8页
Unit 6 An old man tried to move the mountains.单元阅读训练.docx_第7页
第7页 / 共8页
Unit 6 An old man tried to move the mountains.单元阅读训练.docx_第8页
第8页 / 共8页
亲,该文档总共8页,全部预览完了,如果喜欢就下载吧!
资源描述

《Unit 6 An old man tried to move the mountains.单元阅读训练.docx》由会员分享,可在线阅读,更多相关《Unit 6 An old man tried to move the mountains.单元阅读训练.docx(8页珍藏版)》请在第壹文秘上搜索。

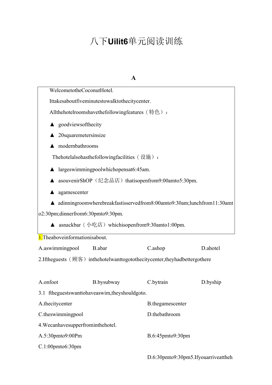
1、八下UiIit6单元阅读训练AWelcometotheCoconutHotel.Ittakesaboutfiveminutestowalktothecitycenter.Allthehotelroomshavethefollowingfeatures(特色): goodviewsofthecity 20squaremetersinsize modernbathroomsThehotelalsohasthefollowingfacilities(设施): largeswimmingpoolwhichopensat6:45am. asouvenirShOP(纪念品店)thatisopenfrom9

2、:00amto5:30pm. agamescenter adinningroomwherebreakfastisservedfrom8:00amto9:30am;lunchfrom11:30amto2:30pm;dinnerfrom6:30pmto9:30pm. asnackbar(小吃店)whichisopenfrom9:30amto1:00pm.1.Theaboveinformationisabout.A.aswimmingpoolB.abarC.ashopD.ahotel2.Iftheguests(顾客)inthehotelwanttogotothecitycenter,theyhadb

3、ettergothereA.onfootB.bysubwayC.bytrainD.byship3.1 ftheguestswanttohaveaswim,theyshouldgoto.A.thecitycenterB.thegamescenterC.theswimmingpoolD.thebathroom4.Wecanhavesupperfrominthehotel.A.5:30pmto9:00PmB.6:45pmto9:30pmC.1:00pmto6:30pmD.6:30pmto9:30pm5.Ifyouarriveatthehotelat11:00pmandfeelhungry,whats

4、houldyoudo?B.Gototheshop.D.Gotothebathroom.A.Gotothedinningroom.C.Gotothesnackbar.BGoddess(女神)of1.uckoncevisitedtheworld.Sheheardlotsofpeoplecomplain(抱怨)thatnoluckythingshappenedtothem.Tosolvetheproblem,Goddessof1.uckputabigstone(石头)inthemiddleoftheroad.Astudentpassedby.Hethoughthewastooyoungandweak

5、tocarrythebigstone.Sohewalkedaway.Anoldmancame,buthethoughtitwasayoungman,sjobtomovetheheavystoneaway.Heturnedaroundandleft.Thenabusinessmanappeared.Assoonashestartedtogetthestoneaway,hedroppedit.Hethoughthecouldn,tgetmoneybecausenoonewouldDayhimfordoingthat,andhewasafraidthatotherpeoplewouldlaughat

6、himforhisstupidaction.Sohewentawaywithoutsayingaword.Sothestonestayedtherefordays.Onelateevening,ayoungmancamebyandsawit.Hethoughtitwassodarkthatsomeonemightfallbecauseofit.Heworkedhardandfinallymovedthestonetothesideoftheroad.Tohissurprise,hefoundaboxunderthestone.Thereweresomewordsonthebox.Itsaid,

7、“Tothepersonwhomovedthestone.Yeah,theboxwasfullofgold.Whenthestudent,theoldmanandthebusinessmanheardit,theyallcried.Howsadtheywere!Justatthatmoment,Goddessof1.ucktoldthem,44Allofyoulostthechancetomovethestone.Thatmeansyoulostthechancetogetmyluckygifts,too.”1.WhatdidGoddessof1.uckhearwhenshevisitedth

8、eworld?A.Noonewantedtobelucky.B.Noonewantedtomovethestone.C.Noluckythingshappenedintheworld.D.Noluckythingshappenedtolotsofpeople.2. Thestudentdidn,twanttomovethestonebecause.A.hewastoobusywithhisstudyB.hethoughtitwasn,thisjobtodoitC.hethoughthewasn,tstrongenoughtodoitD.hewasafraidthatotherpeoplewou

9、ldlaughathim3. Whatdotheunderlinedwords“payhimmean?A.Askhimquestions.B.Givehimmoney.C.Buysomethingfromhim.D.Sellsomethingtohim.4. Whatwastheluckygiftunderthestone?A.Aboxofgold.B.Aboxofbooks.C.Aboxofstones.D.Aboxoffood.5. Whatisthetext?A.Astory.B.Apoem.C.Aninstruction.D.Anintroduction.CItwasMother,sD

10、ay.Amanstoppedhiscarataflowershoptoordersomeflowers.Hewantedtheshopkeepertosendtheflowerstohismother,wholivedtwohundredmilesaway.Ashegotoutofhiscar,hefoundayounggirlsittingontheroadcrying.Heaskedherwhatwaswrongandshereplied,“Iwanttobuyaredroseformymother,butIonlyhaveseventy-fivecents.Arosecoststwodo

11、Ilars.Themansmiledandsaid,uComeintotheshopwithme,andllbuyyouarose.”Heboughtthelittlegirlherroseandorderedhisownmother,sflowers.Astheywereleaving,heofferedtodrivethegirlhome.Shesaid,4Yes,please!Youcantakemetomymother.,Shebroughthimtoacemetery(SJ),wheresheplacedtheroseonthegrave.Themanwasmoved.Heretur

12、nedtotheflowershop,pickeduptheflowersheordered,anddrovetwohundredmilestohismother,shouse.Todayisthedayforyourmother.Sendaflowertoyourkindandbeautifulmother.1.Themanwenttotheshopto.A.havearestB.helpthegirlC.buysomefoodD.ordersomeflowers2.Theman,smotherlivedawayfromhim.A.2kilometersB.75milesC.200miles

13、D.200kilometers3.Thegirlwascryingontheroadbecause.A.shewashungryB.shegothurtC.shecouldntaffordaroseD.shecouldn,tfindherwayhome4. Afterthemanboughtthegirlarose,theywenttotogether.A.thecemeteryB.hisshopC.thegirshomeD.hismother,shouse5. WecanIeamfromthepassagethat.A. thegirllovedflowersverymuchB. thegi

14、rllovedhermotherverymuchC. 1.heshopkeepersenttheflowerstotheman,smotherrD.themandrovetohismother,shousetolookafterher.Awomanistravelingaroundtheworld.Sheis28yearsoldandsheisfromEngland.The20,OOo-mile-trek(徒步旅行)iscalledtt1.ondon21.ondon,Thatmeansshecanttravelbyplane.Andshecantcatchabusortakeacardurin

15、gherjourney.Shemustrideabikeorwalk.Thewomanalsohasaboat.Shemustmoveanddrivetheboatbyherself,too.Thewomandepartedfrom1.ondononApril1st,andshehasalreadytraveledI1.000miles.Somepartsofthetrekareharderthanothers.Sherecentlyhasfinishedaveryhardpartofthetrek.ShespentalongtimeatseawhenshecrossedtheNorthPac

16、ificOcean.Gettingacrossitwasnoteasy.Whenshefinished,shewasreallytired.Thiswashersecondandsuccessfulattempt(尝试)tocrosstheNorthPacificOcean.ThefirstonewasstoppedbyatropicalStorm(热带风暴).Actually,shehasneverthoughtthatshewouldachievesomuch.Shethinkslifeislikeajourney.Itsnotimportantwhereyouaregoing.Howyou

展开阅读全文
相关资源
猜你喜欢
相关搜索

当前位置:首页 > 外语学习 > 英语阅读

copyright@ 2008-2023 1wenmi网站版权所有

经营许可证编号:宁ICP备2022001189号-1

本站为文档C2C交易模式,即用户上传的文档直接被用户下载,本站只是中间服务平台,本站所有文档下载所得的收益归上传人(含作者)所有。第壹文秘仅提供信息存储空间,仅对用户上传内容的表现方式做保护处理,对上载内容本身不做任何修改或编辑。若文档所含内容侵犯了您的版权或隐私,请立即通知第壹文秘网,我们立即给予删除!