01-开放实验“阿司匹林合成与测定”指导书.docx

上传人:p** 文档编号:1044681 上传时间:2024-06-18 格式:DOCX 页数:8 大小:116.72KB
下载 相关 举报
01-开放实验“阿司匹林合成与测定”指导书.docx_第1页
第1页 / 共8页
01-开放实验“阿司匹林合成与测定”指导书.docx_第2页
第2页 / 共8页
01-开放实验“阿司匹林合成与测定”指导书.docx_第3页
第3页 / 共8页
01-开放实验“阿司匹林合成与测定”指导书.docx_第4页
第4页 / 共8页
01-开放实验“阿司匹林合成与测定”指导书.docx_第5页
第5页 / 共8页
01-开放实验“阿司匹林合成与测定”指导书.docx_第6页
第6页 / 共8页
01-开放实验“阿司匹林合成与测定”指导书.docx_第7页
第7页 / 共8页
01-开放实验“阿司匹林合成与测定”指导书.docx_第8页
第8页 / 共8页
亲,该文档总共8页,全部预览完了,如果喜欢就下载吧!
资源描述

《01-开放实验“阿司匹林合成与测定”指导书.docx》由会员分享,可在线阅读,更多相关《01-开放实验“阿司匹林合成与测定”指导书.docx(8页珍藏版)》请在第壹文秘上搜索。

1、开放试验指导书基础化学开放试验(有机化学)-阿司匹林的合成及含量测定一、试验目的1、了解竣酸酯制备的原理、方法,学会合成产品阿司匹林;2、驾驭回流装置的安装和运用,巩固重结晶操作;3、驾驭酸碱滴定法测定阿司匹林的含量(要求学生自己查资料,自己设计方案。)4、学会用熔点法鉴定阿司匹林;5、学会将试验过程和结果用“小论文”形式表达呈现。二、试验原理1、阿司匹林介绍1898年,德国化学家霍夫曼通过水杨酸与醋酊反应合成了乙酰水杨酸。1899年,德国拜尔仁药厂正式生产这种药品,取商品名为ASPirin(阿斯匹林),其具有如下主要功能。阿斯匹林(乙酰水杨酸)的纯品为白色结晶。熔点135138。无臭,微带酸

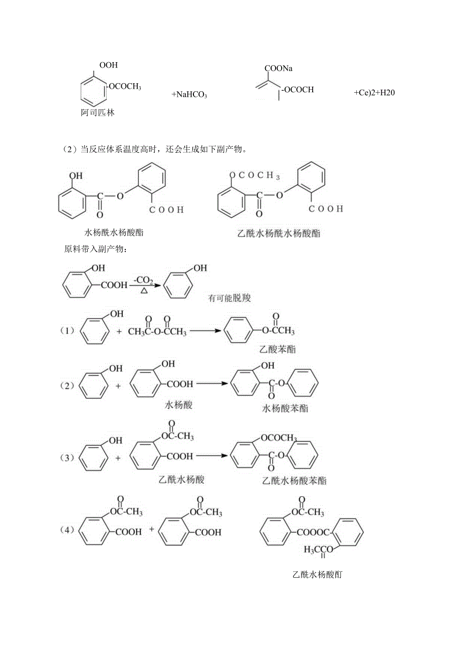
2、味。微溶于水,易溶于醇、酸、氯仿等溶剂中。主要试剂及主要产物的物理常数试剂相对分子质量熔点沸点比重溶解度水杨酸乙酸肝乙酰水杨酸138.1159lg460ml水102.1-731401.082lg2.7ml乙醇180.2135(分解)lg300ml水lg5ml乙醇2、阿司匹林结构OOHI-OCOCH3阿司匹林(乙酰水杨酸)3、阿司匹林的制备反应主反应:(CH3CO)2O+CH3COOH副反应:(1)水杨酸分子间的缩合,生成少量缩合物1.00IlC-0阿司匹林能与NaHCO3反应生成水溶性钠盐,而其副产物聚合物不能溶于NaHCo3水溶液。利用这种性质上的差异,可纯化阿司匹林,分别后的阿司匹林钠盐水

3、溶液通过盐酸酸化即可得到产物。OOH-OCOCH3COONa+NaHCO3-OCOCH+Ce)2+H20阿司匹林(2)当反应体系温度高时,还会生成如下副产物。水杨酰水杨酸酯原料带入副产物:乙酰水杨酸酊4、阿司匹林含量测定思路阿司匹林含量可用酸碱滴定法测定,由于其Ka较大,理论上可干脆滴定,但随滴定溶液PH的增大,乙酰基会发生水解。为防止其水解,可在中性乙醇溶液中对其滴定,但考虑到乙醇价格问题,实际采纳返滴定法。三、试验仪器和试验试剂仪器:圆底烧瓶、球形冷凝管、布氏漏斗、抽滤瓶、烧杯、滴定管、移液管等。试剂:水杨酸、乙酸酊、浓硫酸、乙醇、盐酸、氢氧化钠、酚B1.四、试验内容1、合成:浓硫酸催化一

4、一合成阿司匹林(乙酰水杨酸)盐酸.冷却析晶-少量率减压.烘干一I曰长酸化水洗涤抽滤晶体称重,计算产率。留意:产品乙酰水杨酸易受热分解,它的分解温度为12&135C,产品实行自然晾干。2、阿斯匹林的鉴定一一外观及熔点纯乙酰水杨酸为白色针状或片状晶体,m.p.135136C,但由于它受热易分解,因此熔点难测准。若用熔点管法确定阿司匹林,请留意:用毛细管测熔点时宜先将溶液加热至120C左右,再放入样品管测定。3、检验取少量样品溶于10滴95%的乙醇中,加入1%的三氯化铁溶液1一2滴。视察颜色改变。假如溶液呈紫红色说明样品不纯,若无颜色说明样品纯度很高。4、阿司匹林(乙酰水杨酸)含量测定自行设计测定含

5、量方案,并按方案进行试验。(提示:酸碱滴定法)五、留意事项1、加入浓硫酸时肯定要充分振摇,否则水杨酸在浓硫酸作用下会生成副产物水杨酰水杨酸酯等。2、仪器要干燥,药品也要实现经干燥处理,醋酢要运用新蒸储的,收集139-140C储分。3、反应过程温度需限制在70-8(TC左右(水温限制在90左右),温度过高会加快副反应的进行。六、思索题思索题1.为什么运用新蒸储的乙酸Bf?思索题2:加入浓硫酸的目的是什么?思索题3:为什么限制反应温度不超过70-80C为好?思索题4:怎样洗涤产品?思索题5:乙酰水杨酸还可以运用哪些溶剂进行重结晶?重结晶时须要留意什么?答窠:思索题1答:长时间放置的乙酸酊遇空气中的

6、水,会渐渐分解成乙酸,所以在运用前必需重新蒸馈,收集139-140C情分。思索题2答:浓硫酸作为催化剂。思索题3答:反应温度不宜过高,否则将增加副产物(如水杨酰水杨酸酯、乙酰水杨酰水杨酸酯等等)的生成。思索题4答:洗涤时,应先拨开吸滤瓶上的橡皮管,加少量溶剂在滤饼上,溶剂用量以使晶体刚好潮湿为宜,再接上橡皮管将溶剂抽干。思索题5答:还可以用乙酸乙酯、乙醇-水、乙酸、苯、石油酸(30-60C)等溶剂进行重结晶。重结晶时,溶液不能加热过久,以免乙酰水杨酸分解。当用有机溶剂重结晶时,不能用烧杯等敞口容器进行,而应用回流装置,以免溶剂的蒸气散发或火灾事故的发生。热过滤时,应避开明火,以防着火。小论文格

7、式1、封面论文题目(二号字,黑体,加粗,居中)试验人员姓名/学号专业班级指导老师姓名(三号字,黑体,加粗,居中)2、书目(黑体,三号字,加粗,另起一页)摘要1关键词1第一章前言(概述)21. 121.222其次章试验部分及数据处理42. 142.2 52.3 .16第三章结果与探讨(含结论)84.184.294.2.1104.310参考文献123、正文(另起一页,按书目项目写,文字用小4号字,标题用4号字,加粗,宋体)4、参考文献(另起一页,文字用5号字,标题用4号字,加粗,宋体。留意书写格式!)试验小论文书写说明1、论文题名题名-般不超过20个汉字,必要时可加副题名。2、摘要摘要的内容包括探

8、讨的目的、方法、结果和结论,其中,探讨的结果和作者的结论为摘要的核心部分。一般在300字左右。摘要一般不分段,不用图表、公式和非公知公用的符号。例如:“季镂盐帮助合成安眠香的探讨”论文的摘要如下:“摘要:以苯甲慧为原料,漠化十二烷基二甲基节基铉为相转移催化剂,在VBl催化下,合成了安眠香。采纳正交试验法,得出了最佳反应条件:以OJmoI苯甲醛、0.18gVB为基准,在淡化十二烷基二甲基节基钱的用1.02g反应时间80min,反应温度70,10%NaoH用5ml时,反应产率达到72.3%。由于加入了相转移催化剂,改善了以往方法产率低,重现性差的缺点J3、关键词关键词是能反映论文主题概念的词或词组

9、,便于作文献索引和检索。每篇论文选择关键词35个,可从题名、摘要中选出,也可以把重要术语和地区、人物、文献、产品及重要数据名称作为关键词标出。例如:“季钱盐帮助合成安眠香的探讨”论文的关键词如下:“关键词:笨甲醛相转移催化剂安眠香缩合反应安眠香”4、正文正文是论文的主体,系指引言之后结论之前的部分,这一部分主要是依据作者意图和文章内容而定。(1)前言(概述)前言又称引言,应少而精,开宗明义,言简意赅,应写明前人相关的探讨成果、理论与与实践依据,内容可包括探讨的目的、意义、主要方法、范围和背景等。也可写出产品的用途、发展前景等。(2)试验部分及数据处理试验部分包括以下几个方面:试验所用设备、装置

10、和仪器。通用设备应注明规格、型号,假如是自己特制的装置,应供应示意图。试验方法和过程。方法包括测量仪器、测定方法、标本处理、计算方法等,过程如何进行,操作应留意事项。数据处理:以最清晰地形式列出试验数据、图、表等。(3)结果与探讨(结论)结果部分是对上述数据、图、表等进行综合分析,把试验所得的数据和现象加以说明,阐明自己的观点、见解,得出试验结论。同时,提出尚存在的问题和今后解决问题的想法等。5、参考文献著录凡引用前人的探讨方法、论点、重要数据等,均要列出参考文献。著录格式如下:a出版物:序号作者.题名J刊名,出版年份,卷号(期号):起止页码;b.论文集:序号作者.题名C.见主编.论文集名.出

11、版地,出版年份:起止页码;c.专著:序号作者.书名M.版本.出版地,出版年份:起止页码。以a.为例书写格式:何长霖,昊耀增.双丙酮醇的研制J.沈阳化工,1995,2:16-206、测试题测试题1、水杨酸与醋酊的反应过程中,浓硫酸的作用是什么?写出反应机理。测试题2、若在硫酸的存在下,水杨酸与乙醇作用将得到什么产物?写出反应方程式。测试题3、通过什么样的简便方法可以鉴定出阿斯匹林是否变质?测试题4、本试验是否可以运用乙酸代替乙酸酊?附:评分标准一、评分项目和分值平常成果(50%)论文成果(50%)考勤与卫生操作技能和数据记录设计方案小论文50分(数据记在实录单上,交给老师)(手写)(电子版打印)

12、50分20分80分二、平常成果细则(1)按时到课。一般不允许请事假,特别状况要有学院证明;病假须有医生开据的病假条。30分(全到),10分(1次到),。分(缺勤)(2)保持试验过程中的台面整齐,试验用品摆放有序,不乱扔纸屑等杂物。值日仔细,打扫彻底,听从指导老师支配。10分拒绝做值日记为0分(3)试验操作科学规范,能娴熟驾驭常用仪器的运用方法,基本无损坏仪器现象。20分(4)试验过程中综合实力强,科学品德和科学素养高,数据记录规范、全面。30分I三、论文成果细则*设计方案(1)内容设计合理可操作5分(2)试验设计流程表达清晰5分(3)数据记录设计的表格合理5分(4)其它5分#小论文(I)格式20分书目:4分;摘要/关键词:6分;参考文献:5分;其他:5分。(2)项目齐全,有试验流程、装置图、试验数据、结果、分析、结论等50分项目:5分;试验流程:10分;装置图:5分;试验数据:5分;结果及分析20分(产率计算5分,含量计算5分,结果及分析10分);结论5分。(3)测试题答案10分

展开阅读全文
相关资源
猜你喜欢
相关搜索

当前位置:首页 > 高等教育 > 大学课件

copyright@ 2008-2023 1wenmi网站版权所有

经营许可证编号:宁ICP备2022001189号-1

本站为文档C2C交易模式,即用户上传的文档直接被用户下载,本站只是中间服务平台,本站所有文档下载所得的收益归上传人(含作者)所有。第壹文秘仅提供信息存储空间,仅对用户上传内容的表现方式做保护处理,对上载内容本身不做任何修改或编辑。若文档所含内容侵犯了您的版权或隐私,请立即通知第壹文秘网,我们立即给予删除!