进行陶粒吸水返水试验.docx

上传人:p** 文档编号:368445 上传时间:2023-08-06 格式:DOCX 页数:3 大小:66.55KB
下载 相关 举报
进行陶粒吸水返水试验.docx_第1页
第1页 / 共3页
进行陶粒吸水返水试验.docx_第2页
第2页 / 共3页
进行陶粒吸水返水试验.docx_第3页
第3页 / 共3页
亲,该文档总共3页,全部预览完了,如果喜欢就下载吧!
资源描述

《进行陶粒吸水返水试验.docx》由会员分享,可在线阅读,更多相关《进行陶粒吸水返水试验.docx(3页珍藏版)》请在第壹文秘上搜索。

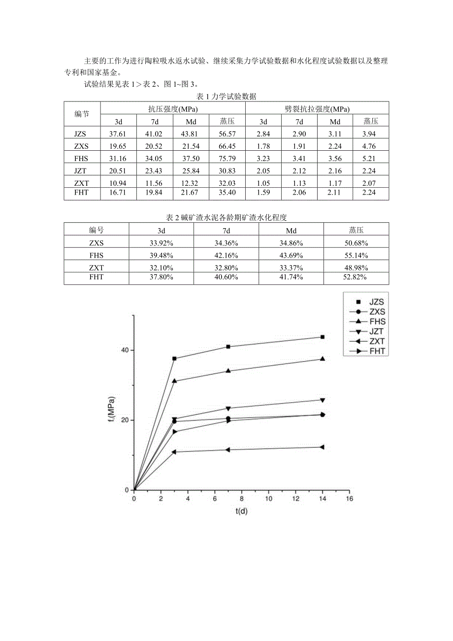
1、主要的工作为进行陶粒吸水返水试验、继续采集力学试验数据和水化程度试验数据以及整理专利和国家基金。试验结果见表1表2、图1图3。表1力学试验数据编节抗压强度(MPa)劈裂抗拉强度(MPa)3d7dMd蒸压3d7dMd蒸压JZS37.6141.0243.8156.572.842.903.113.94ZXS19.6520.5221.5466.451.781.912.244.76FHS31.1634.0537.5075.793.233.413.565.21JZT20.5123.4325.8430.832.052.122.162.24ZXT10.9411.5612.3232.031.051.131.17

2、2.07FHT16.7119.8421.6735.401.592.062.112.24表2碱矿渣水泥各龄期矿渣水化程度编号3d7dMd蒸压ZXS33.92%34.36%34.86%50.68%FHS39.48%42.16%43.69%55.14%ZXT32.10%32.80%33.37%48.98%FHT37.80%40.60%41.74%52.82%t(d)图2劈裂抗拉强度变化规律t(d)从实验数据可以看出,混凝土的强度发展规律与水化程度的变化规律类似,前期激烈的水化反应使得混凝土拥有较好的前期强度,而随后水化反应变缓,强度增长也变缓。这主要是因为随着反应的进行,已经有相当一部分矿渣被溶解,

3、系统已形成大量水化产物,单聚物数量急剧减少,系统的平均聚合度显著增加,表明中间络合物的缩聚过程迅速发展。高聚物的形成及液相数量的减少,增加了离子渗透的阻力,同时,由于OH-离子的消耗,pH降低,碱组分激发能力下降,系统的反应能力下降,所以反应速率开始降低。另外也可以看出,FH组的发展规律和JZ组的发展规律接近,而ZX组的平缓期相较于FH组和ZX组更加平缓,也就是说,掺入一定量的水玻璃会在保证工作性的情况下,对中性钠盐碱矿渣水泥混凝土的强度有一定的改善。针对吴教授之前提的问题在此作出PI答;关于矿渣碱度系数对于激发剂的选择的影响,在史才军碱激发水泥和混凝土P86、P104和蒲心诚碱矿渣水泥与混凝土P76、P126都有记载,综合起来可以认为,中性钠盐激发剂更适合碱性矿渣,而NaOH更适合酸性矿渣,大多数情况下水玻璃都是最有效的激发剂,不过根据它的模数有一定的适用范围,酸性矿渣、中性矿渣和碱性矿渣的最佳水玻璃模数分别为1.0、1.25和1.25T.5。

展开阅读全文
相关资源
猜你喜欢
相关搜索

当前位置:首页 > 建筑/环境 > 环保行业

copyright@ 2008-2023 1wenmi网站版权所有

经营许可证编号:宁ICP备2022001189号-1

本站为文档C2C交易模式,即用户上传的文档直接被用户下载,本站只是中间服务平台,本站所有文档下载所得的收益归上传人(含作者)所有。第壹文秘仅提供信息存储空间,仅对用户上传内容的表现方式做保护处理,对上载内容本身不做任何修改或编辑。若文档所含内容侵犯了您的版权或隐私,请立即通知第壹文秘网,我们立即给予删除!