磁悬浮力的测量.docx

上传人:p** 文档编号:443283 上传时间:2023-08-28 格式:DOCX 页数:7 大小:81.92KB
下载 相关 举报
磁悬浮力的测量.docx_第1页
第1页 / 共7页
磁悬浮力的测量.docx_第2页
第2页 / 共7页
磁悬浮力的测量.docx_第3页
第3页 / 共7页
磁悬浮力的测量.docx_第4页
第4页 / 共7页
磁悬浮力的测量.docx_第5页
第5页 / 共7页
磁悬浮力的测量.docx_第6页
第6页 / 共7页
磁悬浮力的测量.docx_第7页
第7页 / 共7页
亲,该文档总共7页,全部预览完了,如果喜欢就下载吧!
资源描述

《磁悬浮力的测量.docx》由会员分享,可在线阅读,更多相关《磁悬浮力的测量.docx(7页珍藏版)》请在第壹文秘上搜索。

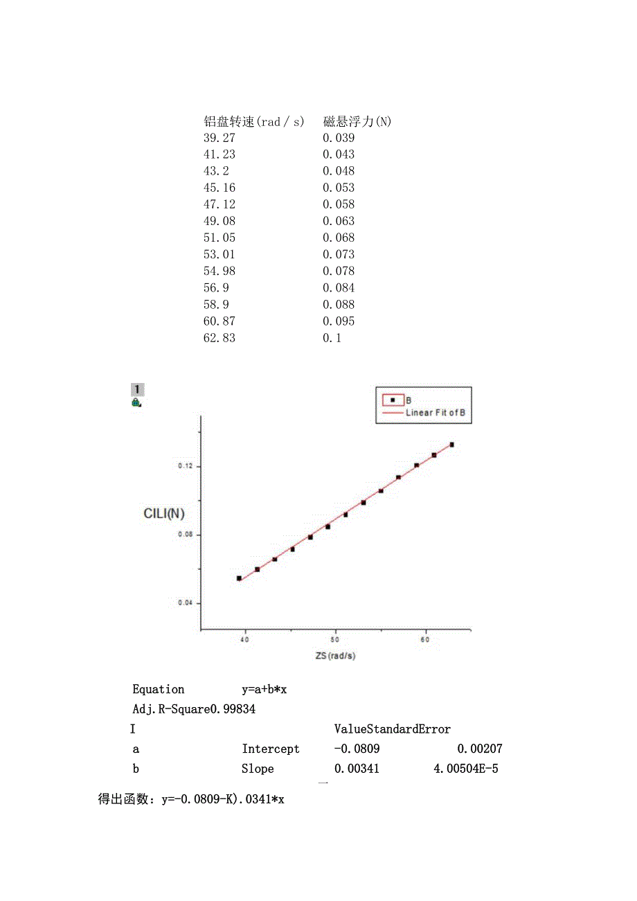
1、铝盘转速(rads)磁悬浮力(N)39.270.03941.230.04343.20.04845.160.05347.120.05849.080.06351.050.06853.010.07354.980.07856.90.08458.90.08860.870.09562.830.1Equationy=a+b*xAdj.R-Square0.99834IValueStandardErroraIntercept-0.08090.00207bSlope0.003414.00504E-5一得出函数:y=-0.0809-K).0341*x(x:铝盘转速(rad/8);y:磁悬浮力(N)铝盘转速(rads

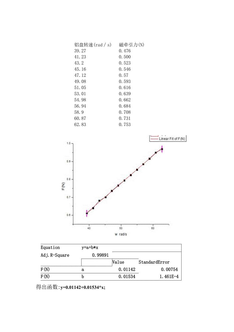
2、)磁牵引力(N)39.270.47641.230.50043.20.52345.160.54647.120.5749.080.59351.050.61653.010.63954.980.66256.940.68458.90.70860.870.73162.830.753Equationy=a+b*xAdj.R-Square0.99891ValueStandardErrorF(N)a0.011420.00754F(N)b0.015341.461E-4得出函数:y=0.01142+0.01534*x;(y:磁牵引力(N);x:铝盘转速(rad/s);)磁悬浮传动系统铝盘转速(rad/s)39.27

3、41.2343.245.1647.1249.0851.0553.0154.9856.9458.960.8762.83传动转速(rad/s)46.649.9251.6656.0359. 6960. 7465.869.8273.8377.3178.7281.586.22Equation-b-w2rad/s.LinearFitofw2rad/s.Adj.R-Square0.99425ValueStandardErrorw2rad/sIntercept-20.448631.91591w2rad/sSlope1.69320.03715得出函数:y=-20.44863+1.6932*x;(x:铝盘转速(r

4、ad/s);y:传动转速(rads)卡片厚度与牵引力的关系f=27000Hz;vv=53.01rad/s;d=0.66mm.卡片厚度D(mm)磁牵引力F(N)0.661.3071.320.7571.980.592.640.3863.30.2883.960.2234.620.1535.280.113D(mm)ModelPolynomialAQR-Square0.99074ValueStandardErrF(N)Intercept2616750.39779F(N)B1-2944391.05971F(N)B21.789350.95415F(N)B3-0.577350.37963F(N)B40.091

5、330.06871F(N)B5-0005570.00462Y=2.61675-2.94439*X+1.78935*X2-0.57735*X3+0.09133*X4-0.00557*Xs;(Y:磁牵引力(N);X:卡片厚度(mm)。卡片厚度与磁悬浮力的关系:f=27000 Hz ;卡片厚度D (mm)0. 661.321.982. 643.33. 964. 625. 28vv=53.01 rad/s ;d=0.66 mm磁悬浮力F (N)0. 1570. 110. 0730. 0510. 0370. 0260.0170.015ModelPolynomialAdj.R-Square0.99988ValueStandardErrorF(N)Intercept0.2010.00559F(N)B1-0.050660.01488F(N)B2-0.037970.0134F(N)B30.024070.00533F(N)B4-0.004939.64914E-4F(N)B53.48068E-46.48199E-5得出函数:Y=0.201-0.05066*X-0.03797*X2+0.02407*X3-0.00493*X4(Y:磁悬浮力(N);X:卡片厚度(mm)。

展开阅读全文
相关资源
猜你喜欢
相关搜索

当前位置:首页 > 高等教育 > 工学

copyright@ 2008-2023 1wenmi网站版权所有

经营许可证编号:宁ICP备2022001189号-1

本站为文档C2C交易模式,即用户上传的文档直接被用户下载,本站只是中间服务平台,本站所有文档下载所得的收益归上传人(含作者)所有。第壹文秘仅提供信息存储空间,仅对用户上传内容的表现方式做保护处理,对上载内容本身不做任何修改或编辑。若文档所含内容侵犯了您的版权或隐私,请立即通知第壹文秘网,我们立即给予删除!