电梯井道结构计算书.docx

上传人:p** 文档编号:1184208 上传时间:2024-09-20 格式:DOCX 页数:55 大小:107.91KB
下载 相关 举报
电梯井道结构计算书.docx_第1页
第1页 / 共55页
电梯井道结构计算书.docx_第2页
第2页 / 共55页
电梯井道结构计算书.docx_第3页
第3页 / 共55页
电梯井道结构计算书.docx_第4页
第4页 / 共55页
电梯井道结构计算书.docx_第5页
第5页 / 共55页
电梯井道结构计算书.docx_第6页
第6页 / 共55页
电梯井道结构计算书.docx_第7页
第7页 / 共55页
电梯井道结构计算书.docx_第8页
第8页 / 共55页
电梯井道结构计算书.docx_第9页
第9页 / 共55页
电梯井道结构计算书.docx_第10页
第10页 / 共55页
亲,该文档总共55页,到这儿已超出免费预览范围,如果喜欢就下载吧!
资源描述

《电梯井道结构计算书.docx》由会员分享,可在线阅读,更多相关《电梯井道结构计算书.docx(55页珍藏版)》请在第壹文秘上搜索。

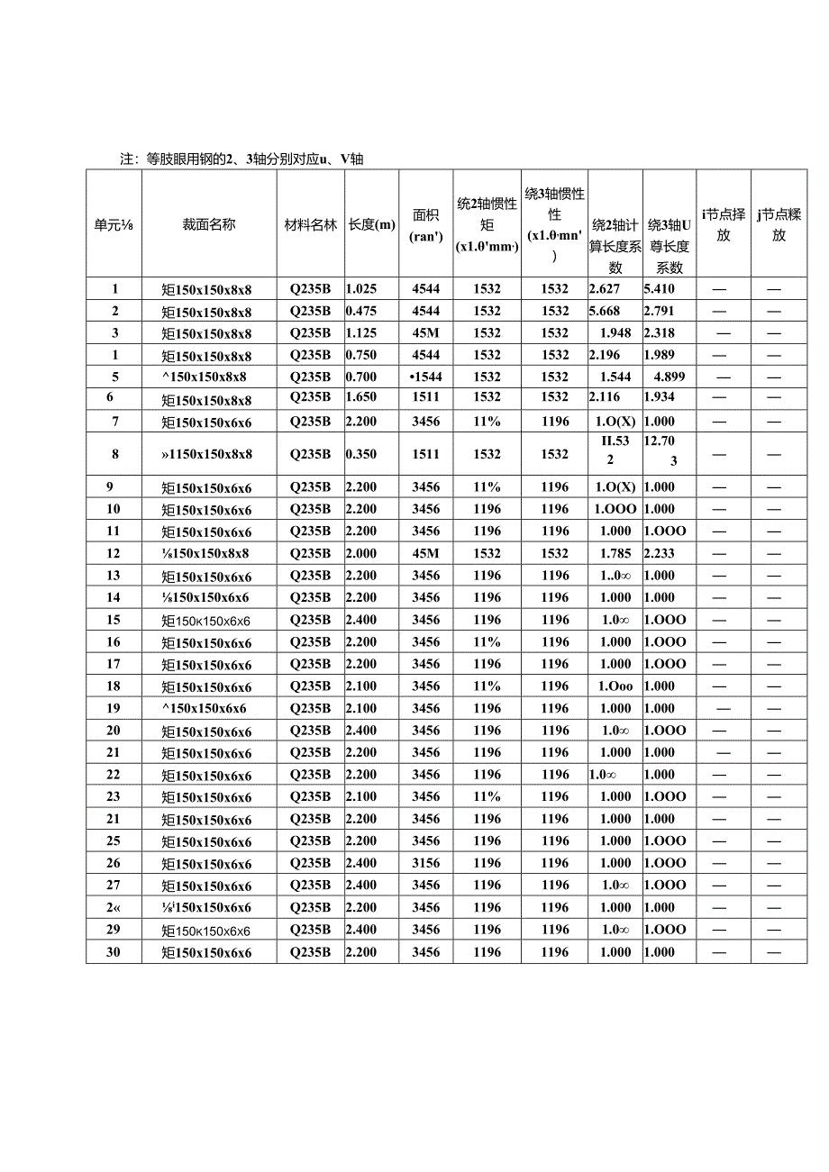
1、1设计依据E建筑结构希我规范3建亚抗IiS设计规范建筑地基基础设计规Jn例结构焊接规范3E例结构高强度螺栓连接技术规程(GB50009-2012)(GB50011-2010)(2016年版)(GB50007-2011)(GB50661-2011)(JGJ82-2011)2计算简图、几何信息计柒简图OW衣示支座,数字为节点号)注:等肢眼用钢的2、3轴分别对应u、V轴单元裁面名称材料名林长度(m)面枳(ran)统2轴惯性矩(x1.mm,)绕3轴惯性性(x1.,mn)绕2轴计算长度系数绕3轴U尊长度系数i节点择放j节点糅放1矩150x150x8x8Q235B1.0254544153215322.62

2、75.4102矩150x150x8x8Q235B0.4754544153215325.6682.7913矩150x150x8x8Q235B1.12545M153215321.9482.3181矩150x150x8x8Q235B0.7504544153215322.1961.9895150x150x8x8Q235B0.7001544153215321.5444.8996矩150x150x8x8Q235B1.6501511153215322.1161.9347矩150x150x6x6Q235B2.200345611%11961.O(X)1.00081150x150x8x8Q235B0.350151

3、115321532II.53212.7039矩150x150x6x6Q235B2.200345611%11961.O(X)1.00010矩150x150x6x6Q235B2.2003456119611961.OOO1.00011矩150x150x6x6Q235B2.2003456119611961.0001.OOO12150x150x8x8Q235B2.00045M153215321.7852.23313矩150x150x6x6Q235B2.2003456119611961.01.00014150x150x6x6Q235B2.2003456119611961.0001.00015矩150k15

4、0x6x6Q235B2.4003456119611961.01.OOO16矩150x150x6x6Q235B2.200345611%11961.0001.OOO17矩150x150x6x6Q235B2.2003456119611961.0001.OOO18矩150x150x6x6Q235B2.100345611%11961.Ooo1.00019150x150x6x6Q235B2.1003456119611961.0001.00020矩150x150x6x6Q235B2.4003456119611961.01.OOO21矩150x150x6x6Q235B2.2003456119611961.00

5、01.00022矩150x150x6x6Q235B2.2003456119611961.01.00023矩150x150x6x6Q235B2.100345611%11961.0001.OOO21矩150x150x6x6Q235B2.2003456119611961.0001.00025矩150x150x6x6Q235B2.2003456119611961.0001.OOO26矩150x150x6x6Q235B2.4003156119611961.0001.OOO27矩150x150x6x6Q235B2.4003456119611961.01.OOO2i150x150x6x6Q235B2.200

6、3456119611961.0001.00029矩150k150x6x6Q235B2.4003456119611961.01.OOO30矩150x150x6x6Q235B2.2003456119611961.0001.000单元号截而名称材料名称长度Gn)面积(1111f)烧2轴惯性矩(x1.mm)绕3轴惯性矩(x1.11m)绕2轮计算长度系数绕3轴计算长度系数i节点拜放j节点糅放31矩150x150x6x6Q235B2.2003456119611961.01.00032150x150x6x6Q235B2.1003456119611961.0001.00033矩150x150x6x6Q235B

7、2.4003456119611961.01.OOO34矩150x150x6x6Q235B2.2003456119611961.0001.00035矩150x150x6x6Q235B2.2003456119611961.0001.00036矩150x150x6x6Q235B2.100345611%11961.0001.00037150x150x6x6Q235B2.2003456119611961.0001.00038矩150x150x6x6Q235B2.4003456119611961.01.00039150x150x6x6Q235B2.2003456119611961.0001.00010矩1

8、50x150x6x6Q235B2.4003456119611961.01.OOO41150x150x6x6Q235B2.2003456119611961.0001.00042矩150x150x8x8Q235B2.OOO4544153215321.8021.83443矩150x150x8x8Q235B1.8004544153215321.8911.958411150x150x8x8Q235B1.3254544153215322.0052.07545矩150x150x8x8Q235B1.50045441532153220742.14746150x150x8x8Q235B1.125451415321

9、5322.2682.05047矩150x150x8x8Q235B0.7504544153215322.1961.98948矩200x150x6x6Q235B2.1004056150823591.0001.000-49矩200x150x6x6Q235B2.4004056150823591.0001.00050矩150x150x6x6Q235B2.100345611%11961.0001.00051M100x50x4x4Q235B2.400113647.37M41.0001.00052矩100X50x4x4Q235B2.100113647.371441.0001.OOO53期100X50x4x4Q

10、235B2.100113647.371441.0001.00054矩150x150x6x6Q235B2.4003456119611961.01.OOO55100x50x4x4Q235B2.100113647.371441.0001.00056100x50x4x4Q235B2.400113647.371-141.01.00057矩KWX50x4x4Q235B2.100113647.371441.ooO1.OOO58矩IoQX5Qx4x4Q235B2.100113617.37M1.1.0001.00059矩100X50x4x4Q235B2.100113647.371441.0001.OOO60能100X50x4x4Q235B2.100113647.371441.0001.00061矩100X50x4x4Q235B2.400113647.371441.01.00062矩200x150x6x6Q235B0.9004056150823591.0004.05663矩200x150x6x6Q235B0.9004056150823591.04.05664矩200x150x6x6Q235B0.9504056150823591.0003.842单元号截而名称材料名称长度Gn)面积(1111f)烧2轴惯性矩(x1.mm)绕3轴惯性矩(x1.11m)绕2轮计算长度系数绕3轴计

展开阅读全文
相关资源
猜你喜欢
相关搜索

当前位置:首页 > 建筑/环境 > 建筑资料

copyright@ 2008-2023 1wenmi网站版权所有

经营许可证编号:宁ICP备2022001189号-1

本站为文档C2C交易模式,即用户上传的文档直接被用户下载,本站只是中间服务平台,本站所有文档下载所得的收益归上传人(含作者)所有。第壹文秘仅提供信息存储空间,仅对用户上传内容的表现方式做保护处理,对上载内容本身不做任何修改或编辑。若文档所含内容侵犯了您的版权或隐私,请立即通知第壹文秘网,我们立即给予删除!