Unit 4 My Favourite Subject学情评估卷(含答案)人教新目标版七年级上册(2014).docx

上传人:p** 文档编号:1210918 上传时间:2024-11-25 格式:DOCX 页数:9 大小:37.86KB
下载 相关 举报
Unit 4 My Favourite Subject学情评估卷(含答案)人教新目标版七年级上册(2014).docx_第1页
第1页 / 共9页
Unit 4 My Favourite Subject学情评估卷(含答案)人教新目标版七年级上册(2014).docx_第2页
第2页 / 共9页
Unit 4 My Favourite Subject学情评估卷(含答案)人教新目标版七年级上册(2014).docx_第3页
第3页 / 共9页
Unit 4 My Favourite Subject学情评估卷(含答案)人教新目标版七年级上册(2014).docx_第4页
第4页 / 共9页
Unit 4 My Favourite Subject学情评估卷(含答案)人教新目标版七年级上册(2014).docx_第5页
第5页 / 共9页
Unit 4 My Favourite Subject学情评估卷(含答案)人教新目标版七年级上册(2014).docx_第6页
第6页 / 共9页
Unit 4 My Favourite Subject学情评估卷(含答案)人教新目标版七年级上册(2014).docx_第7页
第7页 / 共9页
Unit 4 My Favourite Subject学情评估卷(含答案)人教新目标版七年级上册(2014).docx_第8页
第8页 / 共9页
Unit 4 My Favourite Subject学情评估卷(含答案)人教新目标版七年级上册(2014).docx_第9页
第9页 / 共9页
亲,该文档总共9页,全部预览完了,如果喜欢就下载吧!
资源描述

《Unit 4 My Favourite Subject学情评估卷(含答案)人教新目标版七年级上册(2014).docx》由会员分享,可在线阅读,更多相关《Unit 4 My Favourite Subject学情评估卷(含答案)人教新目标版七年级上册(2014).docx(9页珍藏版)》请在第壹文秘上搜索。

1、UNIT4学情评估一、听说应用(本大题共30小题,每小题I分,共30分)(见听说应用)二、语法选择(本大题共IO小题,每小题1分,共IO分)Wca1.1.needfriendsinour1.ife.Doyouhave31goodfriends?Doyouknowwha(32they1.ike?Asforme,Ihavesomegoodfriends.Weareinthesameschoo1.33WC1.ikedifferentsubjects.Jack,sfavoritesubjectisdrawingbecausehe1.ikesdrawingverymuch.Hesaysi(isveryr

2、e1.axingIbrhim34.Mary1.ikesEng1.ishbecauseherfatheris3,Eng1.ishteacher.Theyoftenta1.kinEng1.ishathome.ShespeaksEng1.ish36,andsheusua1.1.yhe1.psherfriends37Eng1.ish.Marywantstostudyabroad(到国外)inthefuture.David1.ikesP.E.becausehe1.ikesdoingsports.Thatisgoodforhis38.Hcisgoodatbasketba1.1.andsoccer.Heof

3、ten39rnetop1.ayba1.1.gameseveryweekend,soWCarcbo1.hhea1.thyandstrong.Astrongbodyhe1.psusaIo1.inourstudy.Thesearemygoodfriends.Whatabout4()?Dothey1.ikethesamesubjectsasyou?()31.A.noB.anyC.much()32.A.subjects氏subjectsC.subjects,()33.A.andB.soC.but()34.A.drawB.todrawC.drawing()35.A.aB.anC.the()36.A.goo

4、dB.we1.1.C.best()37.A.withB.toC.for()38.A.hea1.thB.hea1.thyC.hea1.thi1.y()39.A.teachB.teachesC.teaching()40.A.youB.yourC.yours三、完形填空(本大题共IO小题,每小题1分,共10分)Hi!ImCheng1.ing.ma41inChina.Mysch1.1.ifeisVery42.Wehavefourc1.assesinthe43.C1.assesbeginat8oc1.ock.IntheaItenuwn,wehavetwoc1.asses.WchaveEng1.ish,s

5、cience,history,musicandsomeother44._薨一isnyfavoritesubject.1oftensinganddancewithmyc1.assmatesonweekends.But1dont1.ikescience,40Ithinkifsdifficu1.tand47,Doyouthinkso?Afterschoo1.Ioftenp1.aysoccerwith48friends.SometimesIp1.aytennis.Butmyfavoritesportisbasketba1.1.Andicanp1.ayit49.11.ikenyschoo1.1.ifeV

6、erymuch.Canyou5。meaboutyourschoo1.1.ife?Wha1.syourfavouritesubjcc1.?()41.A.c1.assmateB.studentC.singerD.teacher()42.A.funnyB.boringC.interestingD.difficu1.t()43.A.nightB.afternoonC.eveningD.morning()44.A.subjectsB.thingsC.hobbiesD.activities()45.A.HistoryB.MusicC.Bio1.ogyD.Geography()46.A.andB.butC.

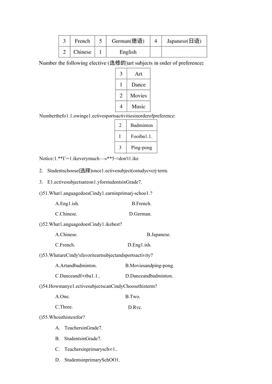
7、soD.because()47.A.anuzingB.interestingC.boringD.fun()48.A.ourB.herC.hisD.my()49.A.togetherB.rea1.1.yC.we1.1.D.e1.se()50.A.rememberB.te1.1.C.needD.count四、阅读理解(本大题共15小题,每小题2分,共30分)After-schoo1.1.essonsforGrade7Studentname:CindyWhat1.anguage(语言)didyoustudyinrimarjSChOOI(小学)?ChineSeNumberthefo1.1.owing1

8、.anguagesinorderOfPrCrCrrnCC(按喜好顺序):Numberthefo1.1.owinge1.ectivesportsactivitiesinorderofpreference:2BadmintonIFooiba1.1.3Ping-pongNotice:1.*,=1.ikeverymuch*5,dont1.ike2. Studentschoose(选择)nce1.ectivesubject(ostudycvcrjterm.3. E1.ectivesubjectsareon1.yforstudentsinGrade7.()51.What1.anguagedoesCindy

9、1.earninprimarj-schoo1.?A.Eng1.ish.B.French.C.Chinese.D.German.()52.What1.anguagedoesCindy1.ikebest?A.Chinese.B.Japanese.C.French.D.Eng1.ish.()53.WhatareCindysfavoriteartsubjectandsportsactivity?A.Artandbadminton.B.Moviesandping-pong.C.Danceandftba1.1.D.Danceandbadminton.()54.Howmanye1.ectivesubject

10、scanCindyChoosethisterm?A.One.B.Two.D.Rvc.C.Three.()55.Whoisthistextfor?A. TeachersinGrade7.B. StudentsinGrade7.C. Teachersinprimarysch1.D. StudentsinprimarySchOO1.BNowschoo1.gardeningisVerycoo1.Parentsandteachers1.ikethesehands-on(实践HeSsOns.Students1.ovethegardening1.essons,t.Inthe1.essons,students

11、haveanewwayto1.earnsomething.Students1.ikethe1.essonsbecausetheycanhe1.pthemrc1.ax(放松).Theydonthavetositattheirdesksinthec1.assrooma1.1.day.Theycangetoutanditsgox1.fortheireyes.A1.so,thegardening1.essonscanteachthemsomethingthattheycannotIcaminthec1.assroom.Ingardens,teachersaska1.1.Ihestudentstowat

12、chSerioUs1.y.T1.iestudentscanseehowthef1.owersgrov(成长).Butsomeschoo1.sdonthavemuchroomforagarden.Thenthestudentscangotoparks.*Gardeningisanimportantsubject,“a1.otofteacherssay.44It1.etsstudentsknowwhereourfoodconicsfrom,andmakesthemhavetheirduty(f三)fbrtheirhome.,()56.Wbydotheparentsandteachers1.ikes

13、choo1.gardening?A. Becausetheycangetout.B. Becauseitisahands-on1.esson.C. Becauseitisaneasy1.esson.D. Becausethey1.ikef1.owers.()57.Whatcanstudentsdointhegardening1.essons?A. 1.camsomething.B. Sitattheirdesksinthec1.assroom.C. Iarnsomethinginthec1.assroom.D. Finishhcirhomework.()58.WTiatdocstheunder

14、1.inedworduscrious1.yinParagraph4mean?A.different1.yB.smart1.yC.carefu1.1.yD.specia1.1.y()59.Whatcanwe1.earnfromthepassage?A. Gardeningisntasubject.B. Studentsdont1.ikegardening.C. Gardeningisgoodforstudentseyes.D. Studentscanhavethegardening1.essoninthec1.assroom.()60.Whatsthebesttit1.eforthepassag

15、e?A. HowtoGrowF1.owersB. HowtoRe1.axC. GettingoutD. Gardening1.essonsinSch1.sC配对阅读。上栏是5个人的信息,下栏是一周7天的安排,请将这5个人与其对应的安排配对.()61.Jerry1.ikesthisdaybecausehecangoiohisfriendsparty.()62.Gina1.ovesthecomputerc1.ass.HerQivoritcdayisthisdaybecauseshehastwocomputerc1.assesintheafte11oon.()63.GarysfavoritesubjectsareRE.andmusic.IIe1.ovesthisdaybecausehehashisfavoritesubjectsintheaftcmn

展开阅读全文
相关资源
猜你喜欢
相关搜索

当前位置:首页 > 中学教育 > 试题

copyright@ 2008-2023 1wenmi网站版权所有

经营许可证编号:宁ICP备2022001189号-1

本站为文档C2C交易模式,即用户上传的文档直接被用户下载,本站只是中间服务平台,本站所有文档下载所得的收益归上传人(含作者)所有。第壹文秘仅提供信息存储空间,仅对用户上传内容的表现方式做保护处理,对上载内容本身不做任何修改或编辑。若文档所含内容侵犯了您的版权或隐私,请立即通知第壹文秘网,我们立即给予删除!