高等学历继续教育本科学士学位外语法语水平考试大纲.docx

上传人:p** 文档编号:291207 上传时间:2023-04-28 格式:DOCX 页数:8 大小:34.60KB
下载 相关 举报
高等学历继续教育本科学士学位外语法语水平考试大纲.docx_第1页
第1页 / 共8页
高等学历继续教育本科学士学位外语法语水平考试大纲.docx_第2页
第2页 / 共8页
高等学历继续教育本科学士学位外语法语水平考试大纲.docx_第3页
第3页 / 共8页
高等学历继续教育本科学士学位外语法语水平考试大纲.docx_第4页
第4页 / 共8页
高等学历继续教育本科学士学位外语法语水平考试大纲.docx_第5页
第5页 / 共8页
高等学历继续教育本科学士学位外语法语水平考试大纲.docx_第6页
第6页 / 共8页
高等学历继续教育本科学士学位外语法语水平考试大纲.docx_第7页
第7页 / 共8页
高等学历继续教育本科学士学位外语法语水平考试大纲.docx_第8页
第8页 / 共8页
亲,该文档总共8页,全部预览完了,如果喜欢就下载吧!
资源描述

《高等学历继续教育本科学士学位外语法语水平考试大纲.docx》由会员分享,可在线阅读,更多相关《高等学历继续教育本科学士学位外语法语水平考试大纲.docx(8页珍藏版)》请在第壹文秘上搜索。

1、高等学历继续教育本科学士学位外语(法语)水平考试大纲考试内容本考试由五个部分组成:词汇与语法结构,阅读理解,完形填空,法译汉及短文写作,满分为120分,其中客观性试题90分,主观性试题30分。试卷分成两大部分:第1卷包括词汇与语法结构,阅读理解,完形填空,共45小题;第II卷包括法译汉及短文写作,法译汉(5道题);短文写作(1篇)。全卷考试时间共计120分钟。第I卷第一部分词汇与语法结构(PartieIVocabulaireetstructuregrammaticale)主要测试考生运用词汇、短语及语法结构的能力。共25小题,每题由一个不完整的句子及A、B、C、D四个选项组成,考生应从四个选项

2、中选出一个使该句完整、正确。第二部分阅读理解(PartieIIComprehensionecrite)主要测试考生能否掌握所读材料的主旨和大意,了解说明主旨和大意的事实和细节;能否在理解字面意思的同时,根据所读材料进行一定的判断和推论;能否在理解个别句子意义的同时,也理解上下文的逻辑关系。共两篇阅读材料,10小题,每篇阅读材料后有若干个问题,考生应根据阅读材料内容从每题的四个选项中选出一个最佳答案。选材的原则是:L题材广泛,所涉及的背景知识应为学生所理解,包括人物传记、社会、历史、地理、日常用语、科普常识等。2 .体裁多样,可以包括叙述文、说明文、议论文等。3 .文章语言难度适中。无法猜测而又

3、影响理解的关键词用汉语注明词义。第三部分完形填空(ParticIIIExerciceatrous)主要测试考生综合运用语言的能力。共10小题。在一篇题材熟悉、难度适中的短文中留出10个空白,每个空白为一题,每题有四个选项,要求考生在通读全文,理解短文大意的基础上结合学过的语法词汇知识及本人常识,为空白选项选择一个最佳答案,使短文的意思和结构完整。第卷第四部分法译汉(PartieIVVersion)主要测试考生将法语翻译成汉语的能力。共5小题,要求考生能够正确地理解句子的意思,并较将其通顺地译成中文。第五部分写作(PartieVComposition)主要测试考生用法语书面表达思想的一般能力。写

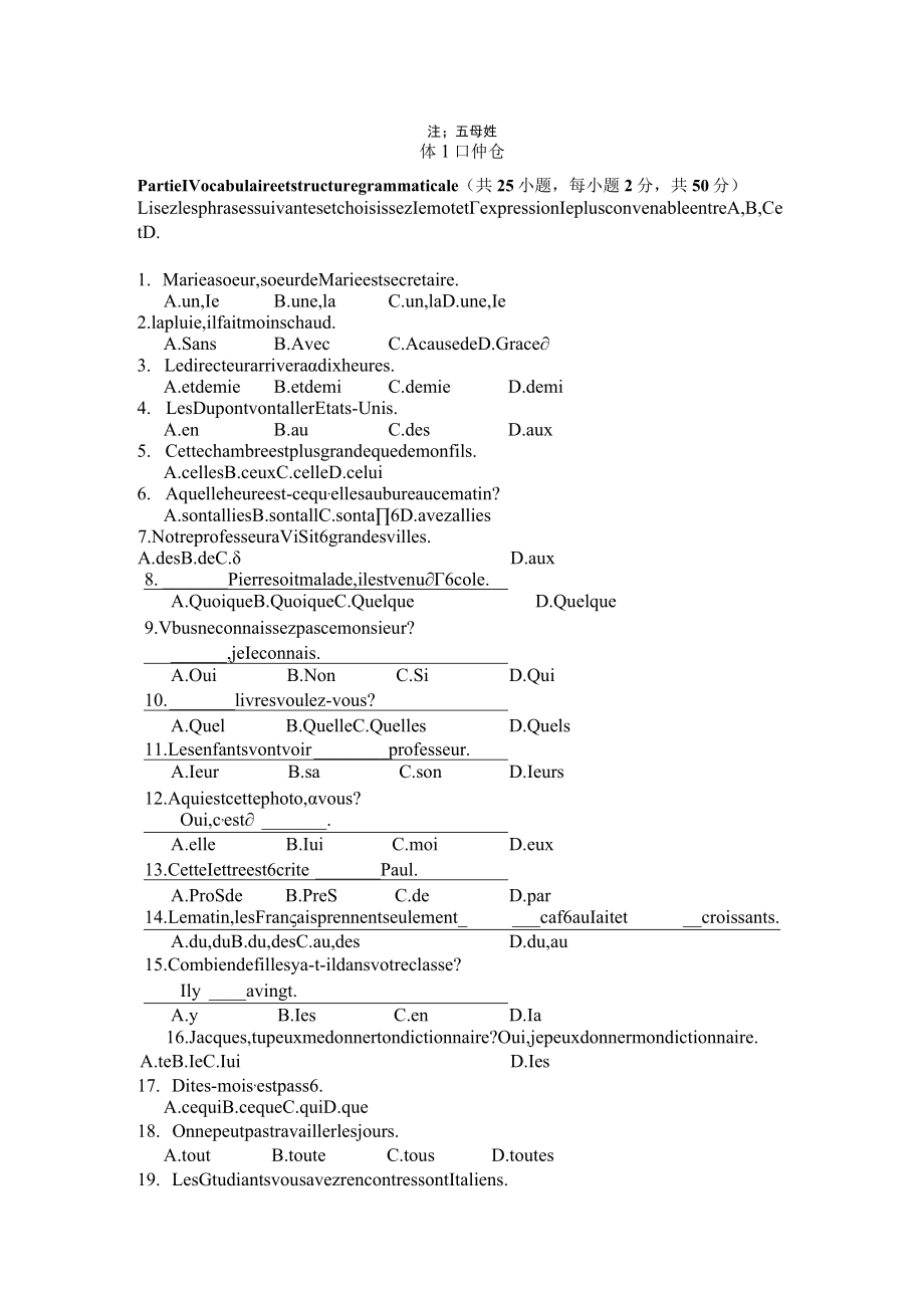
4、作要求切题,能正确表达思想,内容连贯,无重大语言错误。满分为10分,考生所写短文应不少于80词。考试形式与试卷结构答题方式:闭卷、笔试。卷号序号题号测试内容题目数分值测试时间第I卷I1-25词汇与语法结构选择题2550II26-35阅读理解选择题1030III36-45完型填空选择题1010第II卷IV46-50法译汉翻译题520V写作短文写作110合计51120分120分钟注;五母姓体1口仲仓PartieIVocabulaireetstructuregrammaticale(共25小题,每小题2分,共50分)LisezlesphrasessuivantesetchoisissezIemote

5、texpressionIeplusconvenableentreA,B,CetD.1. Marieasoeur,soeurdeMarieestsecretaire.A.un,IeB.une,laC.un,laD.une,Ie2.lapluie,ilfaitmoinschaud.A.SansB.AvecC.AcausedeD.Grace3. Ledirecteurarriveradixheures.A.etdemieB.etdemiC.demieD.demi4. LesDupontvontallerEtats-Unis.A.enB.auC.desD.aux5. Cettechambreestpl

6、usgrandequedemonfils.A.cellesB.ceuxC.celleD.celui6. Aquelleheureest-cequ,ellesaubureaucematin?A.sontalliesB.sontallC.sonta6D.avezallies7.NotreprofesseuraViSit6grandesvilles.A.desB.deC.D.aux8.Pierresoitmalade,ilestvenu6cole.A.QuoiqueB.QuoiqueC.QuelqueD.Quelque9.Vbusneconnaissezpascemonsieur?,jeIeconn

7、ais.A.OuiB.NonC.SiD.Qui10.livresvoulez-vous?A.QuelB.QuelleC.QuellesD.Quels11.Lesenfantsvontvoirprofesseur.A.IeurB.saC.sonD.Ieurs12.Aquiestcettephoto,vous?Oui,c,est.A.elleB.IuiC.moiD.eux13.CetteIettreest6critePaul.A.ProSdeB.PreSC.deD.par14.Lematin,lesFranaisprennentseulement_caf6auIaitetcroissants.A.

8、du,duB.du,desC.au,desD.du,au15.Combiendefillesya-t-ildansvotreclasse?Ilyavingt.A.yB.IesC.enD.Ia16.Jacques,tupeuxmedonnertondictionnaire?Oui,jepeuxdonnermondictionnaire.A.teB.IeC.IuiD.Ies17. Dites-mois,estpass6.A.cequiB.cequeC.quiD.que18. Onnepeutpastravaillerlesjours.A.toutB.touteC.tousD.toutes19. L

9、esGtudiantsvousavezrencontressontItaliens.A.quiB.queC.ouD.dont20. 11estjeunepourallerenFrance.A.trsB.siC.tantD.trop21. Jepassemontempsregarderlatelevision.A.parB.C.deD.vers22. Jeparlebeaucoupenclasse,etFanny,elleparlequemoi.A.beaucoupB.aussiC.plusD.mieux23. DdsquetuParis,tume6phoneras.A.arriverasB.a

10、urasarriv6C.serasarriv6D.arrive24. Hier,iltrsfroid.A.faisaitB.faisaisC.faisD.fait25. ElleapprendIechinoisdeuxans.A.B.enC.dansD.depuisPartieIIComprehensionCcrite(共10小题,每小题3分,共30分)LisezlestextessuivantsetchoisissezlameilIeurer6ponseparmilesquatrepropositions.TexteILalectureetlesjeunesStephane,15ans“Je

11、suisentraindeliremonpremierroman,c,estIedeuxiemevolumedesaventuresd,HarryPotter.estassezlongetunpeudifficileetjeIisIentement.Maisjecroisquejevaisarriveraubout.JeIisparfbisdesbandesdess%2es(连环画),c,estplusrapide,puisj,aimebien/7?口。1-。706(滑稽讽刺).C,estdommagequ,aecole,onparlerarementdecegenredhistoire.”C

12、hloe,16ans“Jedoislireunedizainederomansparan,enplusdeceuxquenoussommesobligesd6tudierenclasse.J,aimebienlesromanspoliciersavecdesauteurscommeElisabethGeorgeouRuthRendell.Cesonttoujoursdeshistoiresincroyablesavecdesgensde7”g曲(神经错舌L的).Encemoment,occasiondel,anniversairedelamortdeZola,onlitL,ArgentCami

13、lle,18ansJaimebienlire,jecroisquelire,c,estindispensable.JenesaispassiIecollegeetIelyc6ePoUSSent(促使)vraimeritlire.Enfait,toutdependdesprofesseurs,etqadependaussidesparents.Silyabeaucoupdelivreslamaison,etlesparentsIisentaussibeaucoup,onpeutetreinfluenceasseztot.Moi,jaimebienlesromansquiracontentdevr

14、aieshistoires.Ilfautdirequelesromans,c,estvraimentCher.”26. Commentest-cequeStephanelit?A.Difficilement.B.Rapidement.C.Lentement.D.Rarement.27. PourquoiChloelitLArgentdeZola?Parceque.A. Chloelitceromanchaqueannee.B. elleaimebienIeVocabulairedeZola.C.cestanneedeZola.D.IeprofesseurdemandeChloedelirece

15、roman.28. Quiouqu,est-cequifaitlireles61vesd,aprsCamille?A. Lecollege.B. LesprofesseursetIesparents.C. Lelyc6e.D. Leprixdeslivres.29. QuelssontlespointscommunsentreChlo6etCamille?A.Ellesaimentlire.B. EllesfontIeursEtudesdanslamemeclasse.C. Ellesaimentlesmemesromans.D. Ellestrouventqueleslivresnesontpasch

展开阅读全文
相关资源
猜你喜欢
相关搜索

当前位置:首页 > 资格/认证考试 > 计算机等级考试

copyright@ 2008-2023 1wenmi网站版权所有

经营许可证编号:宁ICP备2022001189号-1

本站为文档C2C交易模式,即用户上传的文档直接被用户下载,本站只是中间服务平台,本站所有文档下载所得的收益归上传人(含作者)所有。第壹文秘仅提供信息存储空间,仅对用户上传内容的表现方式做保护处理,对上载内容本身不做任何修改或编辑。若文档所含内容侵犯了您的版权或隐私,请立即通知第壹文秘网,我们立即给予删除!