京沪高铁移动模架现浇32m简支梁施工技术总结.docx

上传人:p** 文档编号:6187 上传时间:2022-09-26 格式:DOCX 页数:5 大小:125.71KB
下载 相关 举报
京沪高铁移动模架现浇32m简支梁施工技术总结.docx_第1页
第1页 / 共5页
京沪高铁移动模架现浇32m简支梁施工技术总结.docx_第2页
第2页 / 共5页
京沪高铁移动模架现浇32m简支梁施工技术总结.docx_第3页
第3页 / 共5页
京沪高铁移动模架现浇32m简支梁施工技术总结.docx_第4页
第4页 / 共5页
京沪高铁移动模架现浇32m简支梁施工技术总结.docx_第5页
第5页 / 共5页
亲,该文档总共5页,全部预览完了,如果喜欢就下载吧!
资源描述

《京沪高铁移动模架现浇32m简支梁施工技术总结.docx》由会员分享,可在线阅读,更多相关《京沪高铁移动模架现浇32m简支梁施工技术总结.docx(5页珍藏版)》请在第壹文秘上搜索。

1、京沪高铁黄河南引特大桥移动模架现浇32m简支梁施工技术总结撰稿人:【摘要】介绍黄河南引特大桥采用移动模架施工32m简支箱梁的施工工艺,为同类型桥梁施工提供借鉴。一、工程概况黄河南引特大桥位于济南市境内。正线里程DIK412+062.27DIK417+453.54,中心里程为414+756.67o桥梁下部结构墩身有实心墩和空心墩两种形式,墩高5.5m至19.5m不等。梁结构形式为梁高3.078m,梁长32.6m,梁顶面宽12.0m,截面形式为单箱单室等高斜腹板简支箱梁,梁端腹板、底板局部向内侧加厚,在结构外侧的腹板与顶板相交处均采用圆弧倒角过度。桥址地基表层为新黄土,具有湿陷性;下层为黏土、粉质

2、黏土、卵石土、碎石土、砂类土等。二、施工方案的选择1、满堂支架法施工:桥址地基表层为新黄土,具有湿陷性,由于软弱地基特殊的地质条件,地基处理难度较大;同时由于处理厚度的不均匀性,当添加施工荷载时,地基将可能出现不均匀沉降,从而对混凝土的质量造成不同程度的损伤,对工程质量留下隐患,且地基处理为一次性投入,处理费用较高,周转利用率较低。2、采用双层贝雷支架法施工:该桥施工现场受小清河影响,不能形成流水化作业。3、移动模架法施工:采用移动模架法原位制梁,作业程序清晰、结构受力明确、模架强度高,且不受桥下地质条件的限制。三、施工方案箱梁采用DXZ32m/900t型下承自行式移动模架进行施工。移动模架拼

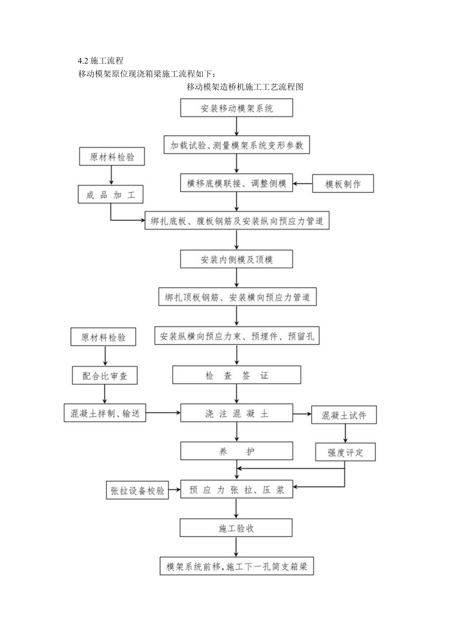
3、装需要大型起重设备,且不利于现场下部结构组织施工,因此选定移动模架分别从地势较为平坦、墩身较低的第165孔梁向前推进。四、移动模架施工工艺4.1循环时间单孔箱梁施工循环时间移动模架施工单孑L箱梁循环时间计算表(d)工程内容工作时间(d)工程内容工作时间(d)牛腿过孔0.5浇注混凝土0.5开模、过孔0.5养护6立底模外模0.5预应力初张拉1绑扎底板腹板钢筋1.5预应力终张拉1安装内模0.5孔道压浆1绑扎顶板钢筋1.0时间合计10注:预应力终张拉、孔道压浆不占用循环时间。4.2施工流程移动模架原位现浇箱梁施工流程如下:移动模架造桥机施工工艺流程图4.3移动模架安装黄河南引特大桥165#墩、166#

4、台墩高较低,墩身为8m至8.5m实心墩台,当拼装位墩高为810m,地形比较平缓时,采用常规拼装作业程序即移动模架的现场拼装采取主箱梁墩身底部临时支点上拼装成形,然后用吊车吊装施工方案。模架拼装流程:拼装前在166#台165#墩间设4个临时支墩,临时支墩为混凝土现浇,作为移动模架拼装的临时支点。移动模架拼装顺序为:牛腿一主梁一底模桁架一底模一侧模f中辅助支腿f前导梁f前辅助支腿f后辅助支腿。待模架安装全部完成后,即可进行混凝土浇筑,然后模架总体向前移动,逐跨施工其余箱梁。4.4移动模架预压为确保箱梁质量和线型,验证DXZ32/900移动模架造桥机的设计和制造质量,并准确掌握现浇箱梁施工过程中模架

5、造桥机各工况下的实际挠度、刚度和稳定性,模架使用前需要在现场做静载预压试验,以确保设备在投入使用后能正常工作和安全使用,同时可消除设备的非弹性变形,为正确设置预拱度提供依据。加载过程共分四级:O50%80%100%120%。在加载过程中,详细记录加载时间、吨位及位置,通知测量组作现场跟踪观测。堆载完成后,每天用水平仪观测至少两次。至各点沉降数据稳定(当连续24小时观测的累计变形不大于2毫米时,即认为是稳定状态)后,即可卸载。卸载按照堆载的反向顺序进行,后堆载的先卸,先堆载的后卸,卸载时逐级观测,并形成记录,进行数据计算、分析、整理。弹性变形数据二卸载后测量数据-满载(100%)稳定后测量数据非

6、弹性变形数据二加载前测量数据-卸载后测量数据4.5调整预拱度根据移动模架预压确定的弹性变形值,再综合考虑梁体由于张拉与收缩徐变引起的反拱值确定出施工预拱度,通过调节底模螺旋千斤顶,使模架底模按按二次抛物线设置预拱度孔。每套模架第一孔梁施工结束后,后续箱梁预拱度设置结合第一孔梁实测出的反拱值调整施工预拱度。4. 6移动模架就位、支座安装此时移动模架支承在前、后主支腿上,移动模架已在制梁位置。模架就位后安装盆式橡胶支座。安装支座前先对混凝土垫石凿毛,用水湿润。支座中线就位后,用钢楔调整支座标高。在支座板周围支立加固灌浆用模板,然后采用重力灌浆法灌注高强度无收缩支座灌浆材料。4.7 绑扎底板、腹板钢

7、筋、布设预应力管道将加工好的钢筋运至模板内,按设计图放样绑扎。在箱梁腹板钢筋绑扎接近完成时,要按设计图要求的位置,绑扎纵向预应力束管道定位筋,然后安装管道,接头部分用大一号波纹管套接,用胶带纸裹紧。定位钢筋编号,并与箱梁模板号相对应,其焊接位置由管道坐标计算而定。4.8 内模安装内模利用36个与梁体同强度的垫块支撑在底模上。垫块利用IOOPVC管制作,其高度根据支撑点处箱梁底板厚度施工。第一孔梁施工时,内模由汽车吊分段直接吊装入连接。在后续梁施工时,内模按照顺序分块自动收缩后由内模小车从箱内分段移出进入下一孔,端部变截面采用人工辅助拼装方式,其余内模板的拆立均利用液压油缸收放方式完成。4.9混

8、凝土灌注浇筑混凝土时采用由两端向跨中水平斜向分层的方法灌注,每层浇筑厚度不超过30cmo底板混凝土浇筑:输送管道通过内模预留窗口将混凝土送入底板,窗口间距约4m,根据实际情况调整。下料时,一次数量不宜太多,并且要及时振捣,尤其边角处必须填满混凝土并振捣密实,以防浇筑腹板时冒浆。底板不需分层浇筑。腹板混凝土浇筑:两侧腹板混凝土要同步进行,其混凝土高差不超过1m,以保持模板支架受力均衡。开始时分层不宜超过20cm,以确保倒角处混凝土振捣密实,一定要保证混凝土从内倒角处翻出,并和底板混凝土衔接好,内翻的混凝土及时向前铲平,最后多余混凝土及时铲除、抹平。顶板混凝土浇筑:当腹板浇筑到箱梁腋点后,开始浇筑

9、顶板混凝土,其浇筑顺序为先中间,后浇两侧翼缘板,但两侧翼板要同步进行。为控制桥面标高,必须按两侧模板标示高度进行混凝土浇筑,并现场每隔l2m设置一个标高控制点,保证主梁混凝土面平整,保证梁面纵、横向坡度符合要求。4.10移动模架脱模桥面铺设后辅助支腿的走行钢轨,然后点动前主支腿、后主支腿的承重油缸,解除机械锁紧螺母,同时前主支腿、后主支腿的承重油缸少量回收,依靠设备自重脱模。移动模架分两次整体下放共120mm左右,此时后辅助支腿在桥面支撑,中辅助支腿、前辅助支腿支撑在墩顶。4.11牛腿过孔牛腿过孔时,前主支腿、后主支腿承重油缸完全回收,解除前主支腿、后主支腿的对拉高强精轧螺纹钢筋;然后吊挂油缸

10、回收,将主支腿提高,安装吊挂机构,解除吊挂油缸的连接,主支腿吊挂在走道上,最后利用纵移油缸顶推前主支腿、后主支腿前进至下一桥墩就位。4.12牛腿就位安装前主支腿、后主支腿前进至下一桥墩就位,然后安装吊挂油缸,将吊挂油缸回收,吊挂机构平移开后吊挂油缸伸出,使主支腿支承在承台上。张拉主支腿的对拉高强精轧螺纹钢筋后解除中辅助支腿、前辅助支腿支撑,使后辅助支腿、后主支腿、前主支腿的油缸回收使移动模架主梁底部的轨道落放在支撑滑道上。4.13模架打开、开模解除底模桁架、底模、前辅助支腿中部的连接螺栓,使移位台车在横移油缸的推拉作用下在支撑托架的横梁上横向移动。后辅助支腿、后主支腿、前主支腿的横移油缸循环伸

11、缩使两侧移动模架基本同步向外横移开启约4.5米。4.14模架过孔同时启动后主支腿上的纵移油缸,循环伸缩使模架前移。纵移油缸缸端固定在纵移支座上,杆端利用插销与纵移顶推耳板连接,纵移油缸每次可以将造桥机向前推进Inb利用倒换插销的方式实现模架的推进过孔作业。4.15模架就位、安装模架横移合拢就位,底模桁架、底模、前辅助支腿连接;主支腿承重油缸顶升就位并机械锁定,开始下孔梁施工。4.16移动模架拆除最后一孔梁施工完成后,由于模架所在130#墩身较高(h214m),此时吊车吊装已不能保证施工安全,因此采用提升架将模架整体下落放置地面的方法拆除模架具体方法如下:模架脱模后,在梁体预留的孔洞上方安置提升

12、机构,通过精扎螺纹钢连接到主梁预留孔上,固定牢靠。安装后应对螺纹钢预加适当拉力使其拉紧,应保证各根精扎螺纹钢的长度基本一致,受力均衡,对提升机构和模架机构进行全面检查后,方可进行模架下落。在模架准备下落时,首先拆除支架及牛腿立柱节,采用汽车吊配合完成。支架拆除后,利用提升机构对模架进行整体下落,直至模架下落至地面,再利用吊车对模架进行拆卸。五、结语5.1 采用移动模架法原位制梁,避免了大吨位运架梁设备和预制场的一次性投入;无需梁场,少占耕地;机动灵活,可迅速转场;作业程序清晰、结构受力明确、模架强度高,不受桥下地质条件的限制。但移动模架具有野外、高空和流动的特点,管理跨度大,资源调配难,安全质量控制任务艰巨。5.2 施工中,每孔梁灌注前所有的物资设备必须提前准备齐全;推广使用全自动液压内模、提浆整平机;每孔箱粱混凝土灌注时间控制在6h8h内,并防止翻浆;从脱模剂选型解决模板污染问题;夏季宜夜间施工,可采取加冰水、孔道水循环、内腔通风降温等措施;加强恶劣气候条件研究,实现全天候生产。

展开阅读全文
相关资源
猜你喜欢
相关搜索

当前位置:首页 > 建筑/环境 > 铁路工程

copyright@ 2008-2023 1wenmi网站版权所有

经营许可证编号:宁ICP备2022001189号-1

本站为文档C2C交易模式,即用户上传的文档直接被用户下载,本站只是中间服务平台,本站所有文档下载所得的收益归上传人(含作者)所有。第壹文秘仅提供信息存储空间,仅对用户上传内容的表现方式做保护处理,对上载内容本身不做任何修改或编辑。若文档所含内容侵犯了您的版权或隐私,请立即通知第壹文秘网,我们立即给予删除!