926-基于码本和非码本的上行传输.docx

上传人:p** 文档编号:704939 上传时间:2024-01-18 格式:DOCX 页数:3 大小:107.93KB
下载 相关 举报
926-基于码本和非码本的上行传输.docx_第1页
第1页 / 共3页
926-基于码本和非码本的上行传输.docx_第2页
第2页 / 共3页
926-基于码本和非码本的上行传输.docx_第3页
第3页 / 共3页
亲,该文档总共3页,全部预览完了,如果喜欢就下载吧!
资源描述

《926-基于码本和非码本的上行传输.docx》由会员分享,可在线阅读,更多相关《926-基于码本和非码本的上行传输.docx(3页珍藏版)》请在第壹文秘上搜索。

1、基于码本和非码本的上行传输如果UE具有多个发射RF链,则可以使用MIMO发射方案对其进行配置。与gNBMlMo天线不同,UEMlMO天线的布局和极化取决于手机因素。此外,对于SRS设计,NRSRS设计不应假定UE处的任何特定天线配置。同样的设计理念也适用于UL码本设计。因此,对于UL码本设计,应假定不相关的UL-MIMO信道。对于大量UE天线(例如8),与分配给UL码本的控制信息的大小相比,码本设计尺寸可能太大。因此,在这种情况下,可能希望在ULMlMo码本上施加某种结构,这可能会利用天线阵列配置中的结构。NR同时支持基于DFT-S-OFDM和CP-OFDM波形,至少支持高达40GHZ的eMB

2、B上行链路。CP-OFDM波形可用于单流和多流传输,而基于DFT-S-OFDM的波形仅限于单流传输。DFT-s-OFDM波形的使用情况包括链路预算有限的情况和使用低成本功率放大器的低成本UE。为了保持链路预算有限的Ue的DFT-s-OFDM波形的低PAPR特性,UL7HM0传输的预编码矩阵也必须限于保持CM的矩阵。还希望将天线选择作为UL码本的一部分,以节省低成本UE的发射功率。虽然DFT-s-0FDM波形的目标是链路预算有限的UE,重点是最大化功率效率,但CP-OFDM波形将用于带宽有限的UE,其主要目的是最大化频谱效率。CP-OFDM波形支持多流传输。为了适应链路质量的变化,UE的传输秩可

3、以由网络基于UL测量自适应地确定。当网络切换ULMlMo传输的秩时,UL码本也必须相应地切换。因此,ULMlMO码本希望包括给定数量的天线端口的所有可能秩。LTERel-IO下行MlMo码本确实提供了这样一个码本,最多4个天线端口。频选性UL预编码可能并不总是比宽带UL预编码提供实质性的增益。首先,只有当频域中的资源分配足够宽时.,才能观察到增益。在窄带资源分配的情况下,例如,对于发射功率有限的小区边缘ue,频选性UL预编码根本不能带来任何性能益处。第二,即使对于能够支持更宽带UL传输的小区中心ue,也可能仍然不能从频选性预编码中受益。这是因为随着接收天线数量的增加,预编码粒度变得不那么重要,

4、这是事实,在NRgNB处可用于UL接收的天线比在LTEeNB处可用于UL接收的天线多得多。第三,精细预编码带来的增益与在ULgrant中指示子带预编码信息所需的开销之间存在权衡。这甚至可能限制频选性预编码的实用性。最后但并非最不重要的是,UE实现复杂性的增加是需要考虑的另一个重要方面。即使允许使用任意预编码矩阵,在链路级模拟中,对于两个UL传输端口,子带预编码增益可以忽略不计。密集城区场景的系统级评估结果表明,当UE处的UL传输端口数为4或更低时,没有子带预编码增益。对于理想的信道估计,子带预编码为2个TX端口提供无增益,为4个TX端口提供可忽略的增益,为8个TX端口提供一些增益。对于真实的信

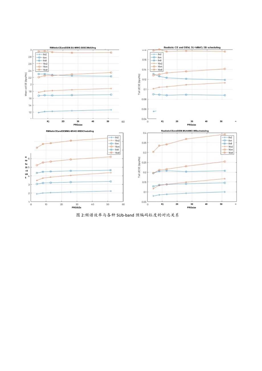
5、道估计和解调,当UE处的传输端口数为4或更低时,子带预编码不会提供任何性能改进。模拟假设20MHZ模拟带宽在排除保护带后被划分为52个RB。考虑了4个RB(13个子带)和52个RB(宽带)的不同子带预编码粒度。图1显示了SUfTMO在具有实际解调信道估计误差的子带调度中的结果。在图中,X轴分别显示gNB和UE处的端口数。对于每种情况,都显示了两个条个对应于具有4-RB粒度(标记为“SB”)的子带预编码,另一个对应于52-RB粒度,即宽带预编码(标记为“WB”)。还显示了子带预编码的性能指标相对于宽带预编码的百分比变化。SU-MlMO(SBsched):Meancellspectraleffic

6、iency(b/s/Hz/TRP)SU-MIMO(SBsched):TailUEspectralefficiency(bsHz)881688416482162图1:SU-MIMO(实际信道估计)、sub-band调度平均小区频谱效率和5%的用户终端频谱效率就子带预编码的影响而言,对于平均频谱效率和尾部频谱效率而言,当UE处的端口数为2或4时,4-RB子带预编码与宽带预编码相比没有提供太多益处。事实上,在许多情况下,性能比宽带预编码差。子带预编码仅在UE的8个端口上提供一些好处。在图2中,提供了频谱效率与不同子带预编码粒度的全图。RMlteticCEandDEM.SU-MWO.S8SCiMdUlingK)2D304050PRGsizeHHrSa 3S=8U8SPRGSiZeRMlteticCEandDEMMU-MV4O.WBSCheduKngK)20304050PRGsizeRealisticCEendDEM.MU44IMO.WBschedulingK)20304050PRGsize图2:频谱效率与各种SUb-band预编码粒度的对比关系

展开阅读全文
相关资源
猜你喜欢
相关搜索

当前位置:首页 > 通信/电子 > 4G及新技术

copyright@ 2008-2023 1wenmi网站版权所有

经营许可证编号:宁ICP备2022001189号-1

本站为文档C2C交易模式,即用户上传的文档直接被用户下载,本站只是中间服务平台,本站所有文档下载所得的收益归上传人(含作者)所有。第壹文秘仅提供信息存储空间,仅对用户上传内容的表现方式做保护处理,对上载内容本身不做任何修改或编辑。若文档所含内容侵犯了您的版权或隐私,请立即通知第壹文秘网,我们立即给予删除!