莫能菌素检测应用方案.docx

上传人:p** 文档编号:88153 上传时间:2022-12-20 格式:DOCX 页数:3 大小:35.17KB
下载 相关 举报
莫能菌素检测应用方案.docx_第1页
第1页 / 共3页
莫能菌素检测应用方案.docx_第2页
第2页 / 共3页
莫能菌素检测应用方案.docx_第3页
第3页 / 共3页
亲,该文档总共3页,全部预览完了,如果喜欢就下载吧!
资源描述

《莫能菌素检测应用方案.docx》由会员分享,可在线阅读,更多相关《莫能菌素检测应用方案.docx(3页珍藏版)》请在第壹文秘上搜索。

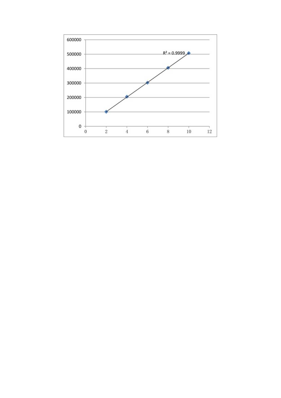
莫能菌素检测应用方案1、仪器配置液相色谱仪、紫外检测器、输液泵、自动进样器、系统控制器、柱温箱、莱博瑞特柱后衍生仪2、色谱条件检测波长:520nm流动相:A甲醇,B水,C冰乙酸流速:0.7m1.min柱温:40。C进样量:20u1.衍生试剂:莱博瑞特莫能菌素衍生试剂包3、检测莫能菌素标准溶液:IOUgm1.标准溶液制备:甲醇稀释,0.45m过滤膜过滤出峰时间:8.876min图1莫能菌素:4、2ugm1.重复性分析进样次数峰面积(uv*s)11022812101003310168041035185104496平均值102595.6RSD1.375、线性分析对照品浓度(ug/m1.)246810峰面积(uv*s)100929205657302503405720507173

展开阅读全文
相关资源
猜你喜欢
相关搜索

当前位置:首页 > 医学/心理学 > 基础医学

copyright@ 2008-2023 1wenmi网站版权所有

经营许可证编号:宁ICP备2022001189号-1

本站为文档C2C交易模式,即用户上传的文档直接被用户下载,本站只是中间服务平台,本站所有文档下载所得的收益归上传人(含作者)所有。第壹文秘仅提供信息存储空间,仅对用户上传内容的表现方式做保护处理,对上载内容本身不做任何修改或编辑。若文档所含内容侵犯了您的版权或隐私,请立即通知第壹文秘网,我们立即给予删除!