加氢反应系统烘炉热态考核方案.docx

上传人:p** 文档编号:216568 上传时间:2023-04-17 格式:DOCX 页数:4 大小:29.95KB
下载 相关 举报
加氢反应系统烘炉热态考核方案.docx_第1页
第1页 / 共4页
加氢反应系统烘炉热态考核方案.docx_第2页
第2页 / 共4页
加氢反应系统烘炉热态考核方案.docx_第3页
第3页 / 共4页
加氢反应系统烘炉热态考核方案.docx_第4页
第4页 / 共4页
亲,该文档总共4页,全部预览完了,如果喜欢就下载吧!
资源描述

《加氢反应系统烘炉热态考核方案.docx》由会员分享,可在线阅读,更多相关《加氢反应系统烘炉热态考核方案.docx(4页珍藏版)》请在第壹文秘上搜索。

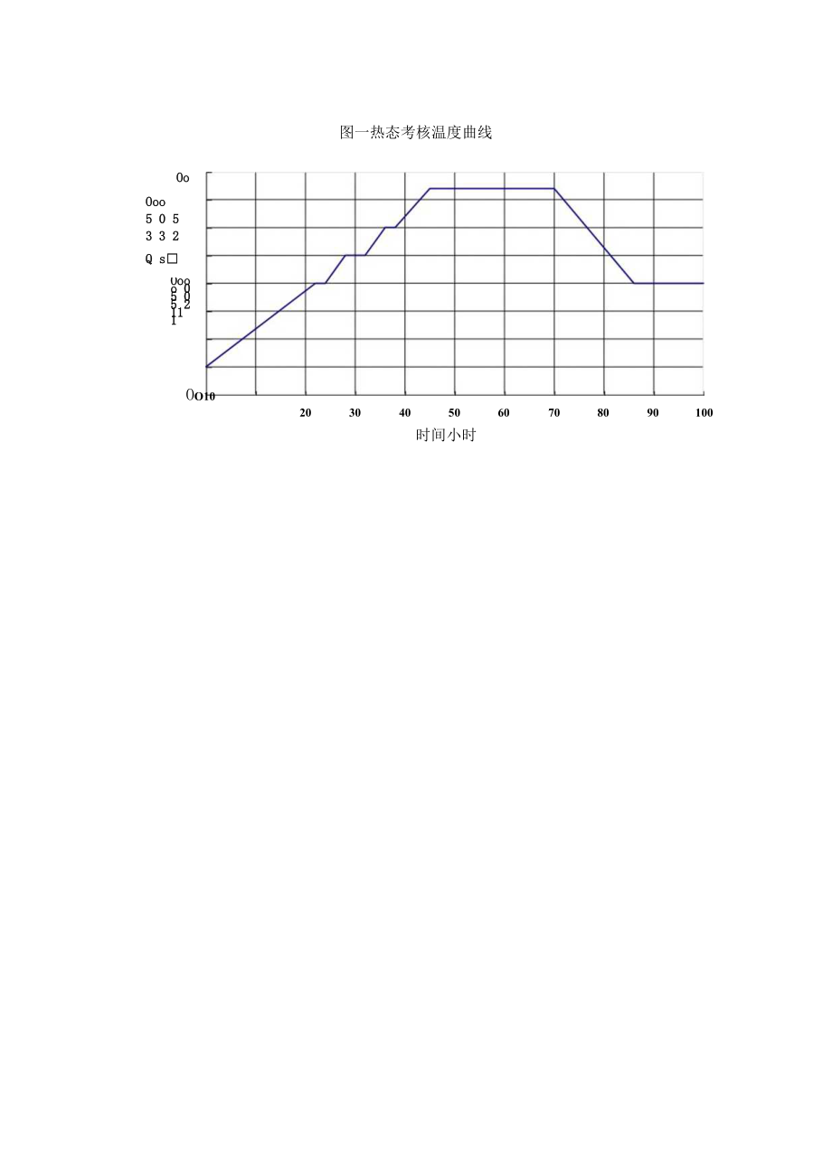
1、加氢反应系统烘炉热态考核方案1目的建立临氢系统氮气循环,利用烘炉过程对反应系统进行干燥和热态考核,操作人员进一步熟悉流程及压缩机操作,同时考验在热态时该系统的设备、仪表等的可靠性。反应系统干燥以达到脱除系统内残留的水份、设备附着的油脂,以免装剂后损坏催化剂或降低其性能。热态考核以检查设备、管线、连接件、仪表等膨胀、位移情况,并在250进行热紧,以消除热应力。2具备条件加热炉具备烘炉条件。相关仪表、DCS及加热炉联锁系统已调试完毕并能保证烘炉需要。反应系统4.OMPa氮气气密合格。(4)系统氮气循环,新氢机、循环机运行正常。系统联锁调试正常,高压系统控制阀调试正常。(6)高压空冷A-101、KT

2、ol级间冷却器试运投用正常等。按照厂家提供的烘炉温度准备好烘炉温度曲线图,经有关人员联合检查,确认具备烘炉条件。3携热介质及流程(1)携热介质:氮气(2)流程:4考核步骤(1)反应炉FTol烘炉的同时,进行反应系统热态考核。(2)热态考核期间,反应系统用氮气维持4.OMPa,循氢机K-IOl运转正常。(3) RTOl入口升至150,检查各弹簧支撑架、吊架、管托、管线、法兰的受力和位移情况,做好记录,发现问题及时处理,同时进行反应系统热紧。(做好标记)(4) RTOl入口升至250,检查各弹簧支撑架、吊架、管托、管线、法兰的受力和位移情况,做好记录,发现问题及时处理,并发现的做好记录、及时处,同

3、时进行反应系统热紧。(5) R-IOl入口升至350团,检查各弹簧支撑架、吊架、管托、管线、法兰的受力和位移情况,做好记录,发现问题及时处理,同时进行反应系统热紧。5热态考核注意事项(1)热态考核时应加强对管线、设备的巡检,热膨胀严重并危及设备、管线安全时,应立即降低加热炉负荷,同时循氢机最大负荷运转。(2)烘炉及热态考核期间,应及时调节空冷器负荷,保证循氢机入口温度不超高。(3)热态考核期间,及时脱除反应系统内的存水。(热高分的水如何脱除)(4)热态考核期间,经与设备人员协商,可根据现场实际情况进行热紧。6热态考核后检查打开反应器、热高分等进人检查前,应先用非净化风进行置换,经采样分析氧含量不小于20%,方可进人检查。(1)检查内构件无变形,构件之间间隙符合规定要求。(2)检查各紧固件之间无松动,泡罩无松动。(3)检查支撑网平整无变形,与器壁之间接触无缝隙。(4)检查冷氢管无变形。(5)检查各热偶无变形,与器壁连接无异常。(6)各项检查结束后,做好记录,逐项处理查出问题。附:热态考核温度曲线图一热态考核温度曲线OO102030405060708090100时间小时Ooo5 0 53 3 2Q sOooo 0 5 0 5 2 11 1Oo

展开阅读全文
相关资源
猜你喜欢
相关搜索

当前位置:首页 > 论文 > 通讯论文

copyright@ 2008-2023 1wenmi网站版权所有

经营许可证编号:宁ICP备2022001189号-1

本站为文档C2C交易模式,即用户上传的文档直接被用户下载,本站只是中间服务平台,本站所有文档下载所得的收益归上传人(含作者)所有。第壹文秘仅提供信息存储空间,仅对用户上传内容的表现方式做保护处理,对上载内容本身不做任何修改或编辑。若文档所含内容侵犯了您的版权或隐私,请立即通知第壹文秘网,我们立即给予删除!