大学物理力学复习.ppt

上传人:p** 文档编号:229181 上传时间:2023-04-17 格式:PPT 页数:51 大小:4.45MB
下载 相关 举报
大学物理力学复习.ppt_第1页
第1页 / 共51页
大学物理力学复习.ppt_第2页
第2页 / 共51页
大学物理力学复习.ppt_第3页
第3页 / 共51页
大学物理力学复习.ppt_第4页
第4页 / 共51页
大学物理力学复习.ppt_第5页
第5页 / 共51页
大学物理力学复习.ppt_第6页
第6页 / 共51页
大学物理力学复习.ppt_第7页
第7页 / 共51页
大学物理力学复习.ppt_第8页
第8页 / 共51页
大学物理力学复习.ppt_第9页
第9页 / 共51页
大学物理力学复习.ppt_第10页
第10页 / 共51页
亲,该文档总共51页,到这儿已超出免费预览范围,如果喜欢就下载吧!
资源描述

《大学物理力学复习.ppt》由会员分享,可在线阅读,更多相关《大学物理力学复习.ppt(51页珍藏版)》请在第壹文秘上搜索。

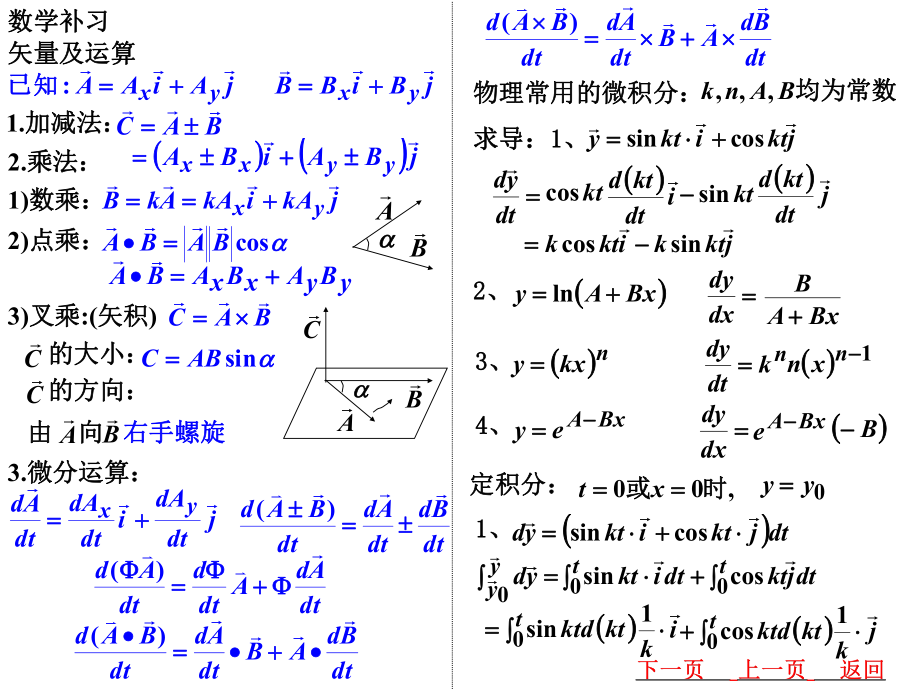
1、大学物理力学复习大学物理力学复习下一页下一页下一页 上一页上一页上一页 返回返回返回CAB 3)叉乘叉乘:(矢积矢积)BAC 的大小:的大小:C sinABC 的方向:的方向:C由由 向向 右手螺旋右手螺旋AB3.微分运算:微分运算:jdtdAidtdAdtAdyx dtBddtAddtBAd )(dtAdAdtddtAd )(dtBdABdtAddtBAd )(数学补习数学补习矢量及运算矢量及运算BAC jBAiBAyyxx jAiAAyx :已知已知jBiBByx 1.加减法:加减法:2.乘法:乘法:1)数乘:数乘:jkAikAAkByx 2)点乘:点乘: cosBABA AB yByAx

2、BxABA 补补 习习 计计 划划第一章第一章 数学补习数学补习 运动学运动学第二章第二章 动量及其守恒定律动量及其守恒定律第三章第三章 机械能守恒定律机械能守恒定律 一次课一次课第四章第四章 角动量守恒与刚体角动量守恒与刚体第五章第五章 相对论相对论 或第十四章或第十四章 分子运动论分子运动论 一次课一次课第六章第六章 真空中的静电场真空中的静电场第七章第七章 导体及电介质导体及电介质 一次课一次课第八章第八章 恒定电场恒定电场 第九章第九章 真空中的磁场真空中的磁场第十章第十章 磁场对电流的作用磁场对电流的作用 一次课一次课第十一章第十一章 磁场与介质的相互作用磁场与介质的相互作用第十二章

3、第十二章 电磁感应电磁感应第十三章第十三章 电磁场的基本方程电磁场的基本方程 一次课一次课一般期末考试比例一般期末考试比例 按章节按章节第一二第一二三四三四章章 35% 35% 第五章相第五章相( (热热) 10-15% ) 10-15% 第六七章电第六七章电 20% 20%第九第九- -十三章十三章 30-35% 30-35% 下一页下一页下一页 上一页上一页上一页 返回返回返回 dxdynkdtdy dxdy物理常用的微积分:物理常用的微积分:求导:求导:1 1、jktiktycossin 均为常数均为常数BAnk,2 2、 BxAy ln3 3、 nkxy 4 4、BxAey 定积分:定

4、积分:,00时时或或 xt0yy 1 1、 dtjktiktyd cossin yyyd0 ttdtjktdtikt00cossin tktktd0sinjktkiktksincos B B ktcos idtktdktsin jdtktdik 1 tktktd0cosjk 1 1 nxndtBdABdtAddtBAd )(BxA BxAe CAB 3)叉乘叉乘:(矢积矢积)BAC 的大小:的大小:C sinABC 的方向:的方向:C由由 向向 右手螺旋右手螺旋AB3.微分运算:微分运算:jdtdAidtdAdtAdyx dtBddtAddtBAd )(dtAdAdtddtAd )(dtBdA

5、BdtAddtBAd )( dtyd数学补习数学补习矢量及运算矢量及运算BAC jBAiBAyyxx jAiAAyx :已知已知jBiBByx 1.加减法:加减法:2.乘法:乘法:1)数乘:数乘:jkAikAAkByx 2)点乘:点乘: cosBABA AB yByAxBxABA CAB 3)叉乘叉乘:(矢积矢积)BAC 的大小:的大小:C sinABC 的方向:的方向:C由由 向向 右手螺旋右手螺旋AB3.微分运算:微分运算:jdtdAidtdAdtAdyx dtBddtAddtBAd )(dtAdAdtddtAd )(dtBdABdtAddtBAd )(下一页下一页下一页 上一页上一页上一

6、页 返回返回返回 dtyd dxdy物理常用的微积分:物理常用的微积分:求导:求导:1 1、jktiktycossin 均为常数均为常数BAnk,2 2、 BxAy lnjktkiktksincos Bktcos idtktdktsin jdtktddtBdABdtAddtBAd )(BxA nkdtdy dxdy3 3、 nkxy 4 4、BxAey 定积分:定积分:,00时时或或 xt0yy 1 1、 dtjktiktyd cossin yyyd0 ttdtjktdtikt00cossin tktktd0sin B ik 1 tktktd0cosjk 1 1 nxnBxAe 0yyikkt

7、t1cos0 jkktt1sin0 2 2、 求:求: AdxdyBxA xydxBxAAdy xyydxBxAAdy00ikkt1)1(cos ikkt1sin 下一页下一页下一页 上一页上一页上一页 返回返回返回 dtyd dxdy物理常用的微积分:物理常用的微积分:求导:求导:1 1、jktiktycossin 均为常数均为常数BAnk,2 2、 BxAy lnjktkiktksincos Bktcos idtktdktsin jdtktddtBdABdtAddtBAd )(BxA nkdtdy dxdy3 3、 nkxy 4 4、BxAey 定积分:定积分:,00时时或或 xt0yy

8、1 1、 dtjktiktyd cossin yyyd0 ttdtjktdtikt00cossin tktktd0sin B ik 1 tktktd0cosjk 1 1 nxnBxAe 0yyikktt1cos0 jkktt1sin0 2 2、 求:求: AdxdyBxA xydxBxAAdy xyydxBxAAdy00ikkt1)1(cos ikkt1sin 3 3、 求:求: ByAedxdy yx 0yy xBxABA0ln ABxABA lnBdxedyByA BdxdyeABy yyAByyde0AByeB (1 xBxABxAdA0BB1)(A xBdx0Bx )0ABye B1下

9、一页下一页下一页 上一页上一页上一页 返回返回返回定积分:定积分:,00时时或或 xt0yy 1 1、 dtjktiktyd cossin yyyd0 ttdtjktdtikt00cossin tktktd0sinik 1 tktktd0cosjk 1 0yyikktt1cos0 jkktt1sin0 2 2、 求:求: AdxdyBxA xydxBxAAdy xyydxBxAAdy00ikkt1)1(cos ikkt1sin 3 3、 求:求: ByAedxdy yx 0yy xBxABA0ln ABxABA lnBdxedyByA BdxdyeABy yyAByyde0AByeB (1 x

10、BxABxAdA0BB1)(A xBdx0Bx )0ABye B1 yxzz, ktzjtyitxtr)()()()( 2.轨迹方程轨迹方程 消去参数消去参数t 第一章第一章 运动学运动学一、质点运动的描述一、质点运动的描述1.位矢位矢,运动学方程运动学方程OX ZY z(t) y(t )x(t ) p(t ) trX YZ P1(x1,y1,z1) P2 (x2,y2,z2)ttrO tr trs)()(trttrr 3.位移位移 (为为直线直线)与路程与路程s (为为曲线曲线)r 222zyxr 位矢大小:位矢大小: 0yyikktt1cos0 jkktt1sin0 2 2、 求:求: A

11、dxdyBxA xy3 3、 求:求: ByAedxdy yxdxBxAAdy xyydxBxAAdy00 0yy xBxABA0ln ABxABA lnBdxedyByA BdxdyeABy yyAByyde0AByeB (1 xBxABxAdA0ikkt1)1(cos ikkt1sin BB1)(A xBdx0Bx )0ABye B1下一页下一页下一页 上一页上一页上一页 返回返回返回位移的大小:位移的大小:222zyxr dsrd 一般情况下,一般情况下,sr 4.速度:位矢对时间的变化率。速度:位矢对时间的变化率。kzj yi x kzzjyyixx)()()(121212 :0 t

12、rdrkdzjdyidx yxzz, ktzjtyitxtr)()()()( 2.轨迹方程轨迹方程 消去参数消去参数t 第一章第一章 运动学运动学一、质点运动的描述一、质点运动的描述1.位矢位矢,运动学方程运动学方程OX ZY z(t) y(t )x(t ) p(t ) trX YZ P1(x1,y1,z1) P2 (x2,y2,z2)ttrO tr trs)()(trttrr 3.位移位移 (为为直线直线)与路程与路程s (为为曲线曲线)r 222zyxr 位矢大小:位矢大小:下一页下一页下一页 上一页上一页上一页 返回返回返回位移的大小:位移的大小:222zyxr dsrd 一般情况下,一

13、般情况下,sr 4.速度:位矢对时间的变化率。速度:位矢对时间的变化率。kzj yi x kzzjyyixx)()()(121212 :0 t rdrkdzjdyidx 3 3、 求:求: ByAedxdy yxBdxedyByA BdxdyeABy yyAByyde0AByeB (1BB1)(A xBdx0Bx )0ABye dtrdv 2)速度速度(瞬时瞬时)状态量状态量时刻时刻 1)平均速度平均速度trv 为为过程量过程量时间时间 dtrdvkdtdzjdtdyidtdx 方向:切方向:切线方向线方向。 速度的计算:速度的计算: 大小大小(速率速率): dtrdvvdtds222zyxv

14、vv kvjvivzyx yxzz, ktzjtyitxtr)()()()( 2.轨迹方程轨迹方程 消去参数消去参数t 第一章第一章 运动学运动学一、质点运动的描述一、质点运动的描述1.位矢位矢,运动学方程运动学方程OX ZY z(t) y(t )x(t ) p(t ) trX YZ P1(x1,y1,z1) P2 (x2,y2,z2)ttrO tr trs)()(trttrr 3.位移位移 (为为直线直线)与路程与路程s (为为曲线曲线)r 222zyxr 位矢大小:位矢大小:下一页下一页下一页 上一页上一页上一页 返回返回返回XYZ P1 P2 tv ttv ttr trO tv ttv

15、tv 5. 加速度加速度: 速度速度对时间的变化率。对时间的变化率。 dtvdakdtdvjdtdvidtdvzyx kajaiazyx 计算:计算: 平均加速度平均加速度:tva 位移的大小:位移的大小:222zyxr dsrd 一般情况下,一般情况下,sr 4.速度:位矢对时间的变化率。速度:位矢对时间的变化率。kzj yi x kzzjyyixx)()()(121212 :0 t rdrkdzjdyidx dtrdv 2)速度速度(瞬时瞬时)状态量状态量时刻时刻 1)平均速度平均速度trv 为为过程量过程量时间时间 dtrdvkdtdzjdtdyidtdx 方向:切方向:切线方向线方向。

16、 速度的计算:速度的计算: 大小大小(速率速率): dtrdvvdtds222zyxvvv kvjvivzyx yxzz, ktzjtyitxtr)()()()( 2.轨迹方程轨迹方程 消去参数消去参数t 第一章第一章 运动学运动学一、质点运动的描述一、质点运动的描述1.位矢位矢,运动学方程运动学方程OX ZY z(t) y(t )x(t ) p(t ) trX YZ P1(x1,y1,z1) P2 (x2,y2,z2)ttrO tr trs)()(trttrr 3.位移位移 (为为直线直线)与路程与路程s (为为曲线曲线)r 222zyxr 位矢大小:位矢大小:下一页下一页下一页 上一页上一页上一页 返回返回返回XYZ P1 P2 tv ttv ttr trO tv ttv tv 5. 加速度加速度: 速度速度对时间的变化率。对时间的变化率。 dtvdakdtdvjdtdvidtdvzyx kajaiazyx 计算:计算: 平均加速度平均加速度:tva )()(trttrr 位移的大小:位移的大小:222zyxr dsrd 一般情况下,一般情况下,sr 4.速度:位矢对时间的变化率。

展开阅读全文
相关资源
猜你喜欢
相关搜索

当前位置:首页 > 中学教育 > 中考

copyright@ 2008-2023 1wenmi网站版权所有

经营许可证编号:宁ICP备2022001189号-1

本站为文档C2C交易模式,即用户上传的文档直接被用户下载,本站只是中间服务平台,本站所有文档下载所得的收益归上传人(含作者)所有。第壹文秘仅提供信息存储空间,仅对用户上传内容的表现方式做保护处理,对上载内容本身不做任何修改或编辑。若文档所含内容侵犯了您的版权或隐私,请立即通知第壹文秘网,我们立即给予删除!