量子力学第十章.ppt

上传人:p** 文档编号:487066 上传时间:2023-09-18 格式:PPT 页数:25 大小:1.60MB
下载 相关 举报
量子力学第十章.ppt_第1页
第1页 / 共25页
量子力学第十章.ppt_第2页
第2页 / 共25页
量子力学第十章.ppt_第3页
第3页 / 共25页
量子力学第十章.ppt_第4页
第4页 / 共25页
量子力学第十章.ppt_第5页
第5页 / 共25页
量子力学第十章.ppt_第6页
第6页 / 共25页
量子力学第十章.ppt_第7页
第7页 / 共25页
量子力学第十章.ppt_第8页
第8页 / 共25页
量子力学第十章.ppt_第9页
第9页 / 共25页
量子力学第十章.ppt_第10页
第10页 / 共25页
亲,该文档总共25页,到这儿已超出免费预览范围,如果喜欢就下载吧!
资源描述

《量子力学第十章.ppt》由会员分享,可在线阅读,更多相关《量子力学第十章.ppt(25页珍藏版)》请在第壹文秘上搜索。

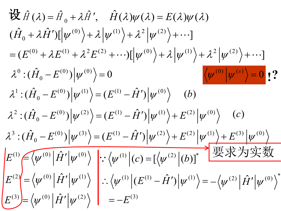
1、第第10章章 微扰论微扰论10.1 束缚态微扰论束缚态微扰论若若 易求,易求,(0)(0)(0)0nnnHE而而 难解,难解,0()HHE可用微扰法。可用微扰法。其中其中 1,2,nf(0)(0)nmm n且且 ,HH 0(),HHH()()()()HE(0)(1)2(2)0()HH(0)(1)2(2)(0)(1)2(2)()EEE0(0)(0)0:()0HE设设1(0)(1)(1)(0)0:()()HEEH2(0)(2)(1)(1)(2)(0)0:()()HEEHE3(0)(3)(1)(2)(2)(1)(3)(0)0:()()HEEHEE(0)()0s!?(1)(0)(0)EH(2)(0)(

2、1)EH(3)(0)(2)EH()c()b(1)(2)*()()cb(1)(1)(1)()EH*(2)(0)H(3)E要求为实数10.1.1 非简并态微扰论非简并态微扰论若无微扰时体系处于非简并能级若无微扰时体系处于非简并能级(0),kE(0)(0)k(0)(0),kEE(0)(0)(0)0kkkHE施加微扰后体系本征能量和波函数的零级近似施加微扰后体系本征能量和波函数的零级近似1.一级近似一级近似(1)(0)(0)EH(0)(0)kkHkkH(0)kkkkEEH(1)(0)knnna(here means)nk(0)(1)(1)(0)0()()kkkkHEEH(0)m(0)(0)(1)(1)

3、(),mkmkmkmkEEaEH(1)(0)(0)()mkmkmHamkEE(0)(0)(0)(0)nkkknnknHEE.2.能量二级近似能量二级近似(2)(2)(0)(1),kkkEEH2(0)(0)(0)nkkkknnkHEEHEE3.能量三级修正能量三级修正(3)(1)(1)(1)()kkkkEHE(0)(0)(0)(0)(0)(0)2()()()knnmmkknnkkknmnknkmknH HHH HHEEEEEE4.微扰法适用条件微扰法适用条件(0)(0)1nkknHEE说说 是小量的含义是小量的含义H例例1.p180 氦原子及类氦离子基态能量。氦原子及类氦离子基态能量。解:解:2

4、2121212111()()22 ZZHrrr0HH0H基态能量:基态能量:10011002()()rr000H基态波函数:基态波函数:222(/2)ZZ221001100233121212()()1rrd rd rrr将电子互作用视为微扰,能量一级修正将电子互作用视为微扰,能量一级修正58Z能量一级近似能量一级近似258 EZZ例例2.p180 电介质极化率。电介质极化率。解:解:0,HHq x(0)(1/2)kEknknkHq x ,1,1122n kn kqkk 2(0)(0)(0)()nkkkkkn kknHEEHEE2221()22kqEk(0)(0)(0)(0)()nkkknn k

5、knHEE(0)(0)(0)111()()()()22kkkkqkkxxxx(0)(0)2()()kkdxqxdx严格解:严格解:2221(),22kqEk(0)0()()kkxxx讨论:电解质极化率讨论:电解质极化率 无外电场时,介质中的离子在其平衡位置附近作小振动,可视为简谐振动 加外场后正负离子的平衡位置反向移动,dxxxxxxxnnnew)()(0)0(0)*0(0 x+-+-+-+-0向右0宏观极化强度=0+-+-+-+-诱导电偶极矩为22022/Dqxq222/q所以电偶极矩例例3.00,0,0EE,000000000EEEEH求本征能量和本征矢。解:解:0010000101001

6、010010HE0HH(0)(0)(0)0HE(0)102,EE(0)20,E(0)302EE(0)311221(0)2110,21(0)1112,21231(0)1111(0)(0)21()nnnHEEHEE12112022121S21010120120HHS HS21002224 2EEE(0)(0)11202 2E 001212212EE 类似可求出其它两个能级的近似解例4.平面转子,转动惯量I,固有电偶极矩D。沿x方向加匀电场,计算基态近似解。基态能级非简并,其它所有能级二重简并。解:i.无外场时,22202,22zLdHIId EddI2222,2,1,0m,222)0(ImEm,2

7、)()0(immeii.考虑微扰的作用cosDDH2()0cos2i m mm mDHed )(21,1,mmmmD(1)00,E2(2)00(0)(0)00mmmHEEE22221010(0)(0)(0)(0)20101HHIDEEEE D(1)(0)(0)(0)0011(0)(0)200()mmmmHIDEEcos222ID波函数一级近似)cos21(21)(20ID讨论i.若外场很强,不能看成微扰。可认为 1222cos2dHDId 222222dDDId 令24/,/DIID01,2ED2/4/1022)(eii.转子有向电场方向偏转的趋势,导致极化。10.1.2 简并态微扰论简并态微

8、扰论若无微扰时体系处于简并能级若无微扰时体系处于简并能级(0),kE零级方程零级方程不能确定零级波函数不能确定零级波函数(0)(0)1kfka(0)(1)(1)(0)01()(),kfkkHEaEH(0)k上式得:上式得:(1)1()0kfHEa 或写成或写成11121112122222(1)12kkkkkkkkfffffff fHHHaaHHHaaEaaHHH 子空间子空间 表象中表象中 的本征方程的本征方程(0)kE0HH1,2,kf(0)(0)(0)0kkkHE1.能量一级近能量一级近由由(1)det0HE 解出解出(1),kE(0)(1)kkkEEE2.波函数零级近似波函数零级近似(0

9、)(0)kfkka1,2,kfii.微扰使简并能级 分裂为 。(0)kE12,kkkk fEEEiii.微扰降低对称性,消除(或降低)简并。iv.若 在 表象是对角阵,则能量一级修正就是对角元。H0H3.讨论讨论i.可以证明(0)(0)kk例例5.氢原子的氢原子的Stark效应效应(光谱的电致分裂光谱的电致分裂)1分析i.Lyman线系的第一条谱线:sp12ii.外场可视为弱匀强电场cosHe r iii.微扰作用下基态能级可能会移动,但不分裂(1)1100100cos0Ee rdJohannes Stark,18741957,德国1897年,慕尼黑大学,博士1913年发现氢原子光谱线的电致分

10、裂获1919年度诺贝尔物理学奖。德国物理技术研究协会主席社会名声不佳(纳粹时期)消光介质中的牛顿环iv.n=2能级四重简并,用简并微扰。2.解:i.微扰矩阵元1200,1212cosHe rd 222021043cos34e rRr Rr r drde a 2210,3211,421,1偶宇称奇宇称21H其它矩阵元为零ii.解久期方程,求能量一级修正(1)2(1)2(1)2(1)23003000,000000Ee ae aEEE(1)213Ee a(1)230E(1)223Ee a(1)240Eiii.求零级近似波函数将 代回到线性齐次方程组(1)213Ee a1234110011000001

11、00001aaaa34210,aaaa 4(1)1()0HEa 2(0)(1)2122138eEEEe aa 能量一级近似120021012对应零级波函数同理2(0)(1)222223,8eEEEe aa 2200210121234010010000,00000000aaaa120aa34,aA aB223,8eEa 321121 1AB同理421121 1CD224,8eEa 可见,重根对应的零级波函数不确定。将 代回(1)230E无外电场1E2E20021021121 1,0121.6nm加外电场200210()/2200210()/221121 1,01020100例例6.光谱精细结构的

12、微扰计算光谱精细结构的微扰计算0()HHr s L采用角动量耦合表象采用角动量耦合表象0jnljHnl jmEnl jmi.零级近似(0)jjjmjjmanljm,nlEE ii.能量一级修正jjjmmjnljmHmjnlHjj 220nljjRrr r dr lj m L S ljm 而jjjjljmLJmj lljmSLmj l2224321jjmmj jlljj4/31122jjjjmmj jnljmmjdrrrrRlljjH0222,)()(4/3112能量一级修正 jjjmjmHE,1非对角元为零21,)12(21,)12)(1(33)1(ljllnljllnE3224222acZe

13、,其中221/21(1)(21)nlj lnlZEEn ll 221/21(21)nlj lnlZEEnll 例例7.反常反常Zeeman效应的微扰计算效应的微扰计算22()()(2),2LzzHV rr S LLS 22()()2LzLzV rr S LJS 0LzHS2LeBc21137ec,其中精细结构常数例例8.对类氢系统,计算对类氢系统,计算knl mrknl m r nl m解:解:01nl mr0,k1.1,k1nl mrkr2 nl mnl mVTnnl mnl mVTE2,nnl mVE221 nnl mErZe20Zn a2.2,k21nl mr222222(1)()22n

14、l mnnl mllZerErrrrr22(21)1,2nnl mnl mEHlllr由由Virial 定理得定理得nnEEln1 rnnl2 230Z en a2232011(1/2)nl mZrn la122220021(21)(21)()04kkkaakkrkrlkrZZn3.Kramers公式公式证明:证明:220()kknlrr Rr r dr20()knlr ur dr222222(1)22nd ullZeuE urdrr满足满足()nlur或写为或写为2 2202 nZ eEn a22002(1)()0(A)ZllZuua rnar202ae1000()kkkku r udrr

15、uur ukr u u dr2201(1)()2kkk krr udr102 kkkr uu drr利用了22002(1)()0(A)ZllZuua rnar0(A):kr udr221200012()(1)(1)()()02kkkkZZr udrk kllrrrana20(1)()kkr udr102(A):kr udr10 kkr uu drkr利用2102()kZkra2(1)(1)kkllr20(1)()kZkrna0消去积分,整理得:消去积分,整理得:122220021(21)(21)()04kkkaakkrkrlkrZZn例例9.氢原子核氢原子核(质子质子)与核外电子除库仑互作用外

16、,与核外电子除库仑互作用外,还有相对较弱的与内禀磁矩有关的互作用:还有相对较弱的与内禀磁矩有关的互作用:8(),3 peHr其中其中2,22 eepppepeesgsm cm c解:解:试计算由试计算由 引起的基态能级的引起的基态能级的“超精细结构超精细结构”。H氢原子的基态轨道波函数氢原子的基态轨道波函数0/31/21000()r aae考虑自旋后,体系基态波函数考虑自旋后,体系基态波函数0100()(,)re p11101 100(,),;e p是是的本征态的本征态2()pess即基态能级四度简并。即基态能级四度简并。注意到注意到221100003,44 sspeMMpessss 的矩阵是对角矩阵,的矩阵是对角矩阵,H(1)00 EH2231008()()()32pepepegmessrr d rmm c对自旋单态对自旋单态22(1)2 230 eppemeEgmm c a对自旋三重态:对自旋三重态:22(1)2 2303pepegmeEmm c a能级裂距是精细结构能级裂距的能级裂距是精细结构能级裂距的epmm

展开阅读全文
相关资源
猜你喜欢
相关搜索

当前位置:首页 > 高等教育 > 大学课件

copyright@ 2008-2023 1wenmi网站版权所有

经营许可证编号:宁ICP备2022001189号-1

本站为文档C2C交易模式,即用户上传的文档直接被用户下载,本站只是中间服务平台,本站所有文档下载所得的收益归上传人(含作者)所有。第壹文秘仅提供信息存储空间,仅对用户上传内容的表现方式做保护处理,对上载内容本身不做任何修改或编辑。若文档所含内容侵犯了您的版权或隐私,请立即通知第壹文秘网,我们立即给予删除!